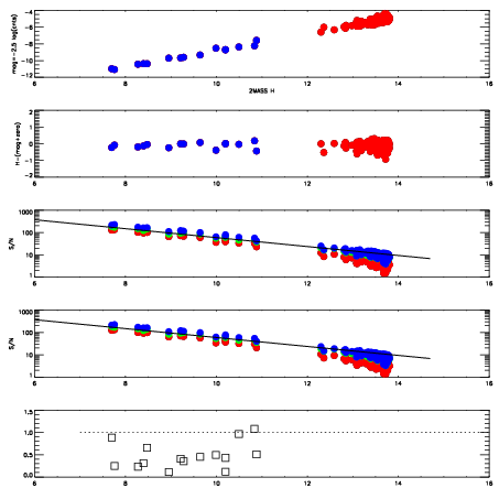
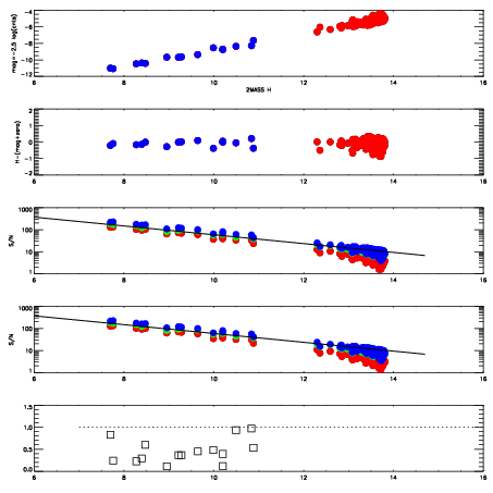
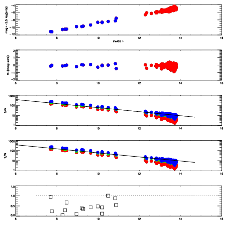
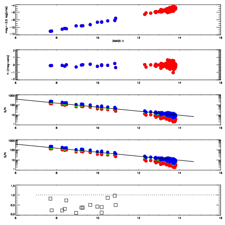
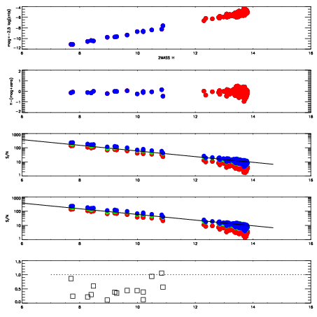
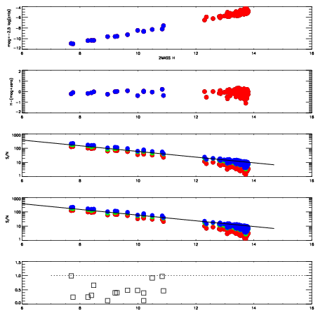
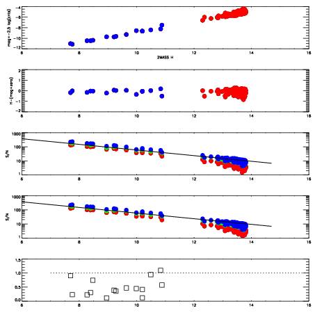
Frame | Nreads | Zeropoints | Mag plots
| Spatial mag deviation
| Spatial sky 16325A emission deviations (filled: sky, open: star)
| Spatial sky continuum emission
| Spatial sky telluric CO2 absorption deviations (filled: H < 10)
|
18880026
| 47
| | Red | Green | Blue
| z | | 18.85
| znorm | | 14.67
| sky | 14.8 | 14.9 | 15.1
| S/N | 17.8 | 26.1 | 30.6
| S/N(c) | 19.4 | 0.3 | 43.0
| SN(E/C) | 0.40
|
|
|
|
|
|
|
18880027
| 47
| | Red | Green | Blue
| z | | 18.93
| znorm | | 14.75
| sky | 15.2 | 15.5 | 15.2
| S/N | 18.2 | 26.9 | 31.5
| S/N(c) | 20.4 | 0.3 | 45.3
| SN(E/C) | 0.39
|
|
|
|
|
|
|
18880028
| 47
| | Red | Green | Blue
| z | | 18.96
| znorm | | 14.78
| sky | 15.2 | 15.3 | 15.4
| S/N | 18.6 | 27.4 | 31.9
| S/N(c) | 20.3 | 0.3 | 45.3
| SN(E/C) | 0.41
|
|
|
|
|
|
|
18880029
| 47
| | Red | Green | Blue
| z | | 18.92
| znorm | | 14.74
| sky | 15.0 | 15.1 | 15.2
| S/N | 18.3 | 27.1 | 31.5
| S/N(c) | 20.1 | 0.3 | 44.8
| SN(E/C) | 0.43
|
|
|
|
|
|
|
18880030
| 47
| | Red | Green | Blue
| z | | 18.91
| znorm | | 14.73
| sky | 15.3 | 15.2 | 15.4
| S/N | 18.6 | 27.3 | 31.8
| S/N(c) | 19.2 | 0.3 | 42.8
| SN(E/C) | 0.39
|
|
|
|
|
|
|
18880031
| 47
| | Red | Green | Blue
| z | | 18.82
| znorm | | 14.64
| sky | 14.9 | 15.3 | 15.1
| S/N | 17.7 | 26.3 | 30.4
| S/N(c) | 18.6 | 0.3 | 41.7
| SN(E/C) | 0.40
|
|
|
|
|
|
|
18880032
| 47
| | Red | Green | Blue
| z | | 18.89
| znorm | | 14.71
| sky | 15.1 | 15.3 | 15.2
| S/N | 18.0 | 26.7 | 30.9
| S/N(c) | 19.4 | 0.3 | 43.3
| SN(E/C) | 0.43
|
|
|
|
|
|
|
18880033
| 47
| | Red | Green | Blue
| z | | 18.89
| znorm | | 14.71
| sky | 15.3 | 15.2 | 15.2
| S/N | 18.1 | 26.6 | 31.0
| S/N(c) | 19.6 | 0.3 | 43.7
| SN(E/C) | 0.42
|
|
|
|
|
|
|