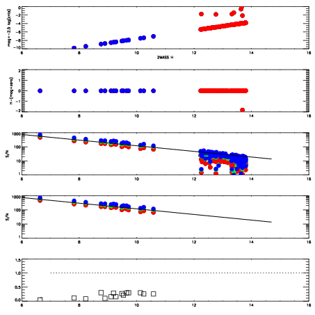
Left plots: red are targets, blue are telluric. Observed mags are calculated from median value of green chip. Zeropoint gives overall throughput: bigger number is more throughput.
First spatial plots: circles are objects, squares are tellurics, crosses are sky fibers. Colors give deviation of observed mag from expected 2MASS mag using the median zeropoint; red is brighter
Second spatial plots: circles are sky fibers. Colors give sky line brightness relative to plate median sky line brightness
FrameNreadsZeropointsMag plots Spatial mag deviation Spatial sky 16325A emission deviations (filled: sky, open: star) Spatial sky continuum emission Spatial sky telluric CO2 absorption deviations (filled: H < 10)
0 0
RedGreenBlue
z17.64
znorm Inf
sky -Inf -Inf -Inf
S/N 31.3 49.0 56.3
S/N(c) 18.6 52.9 18.8
SN(E/C) 0.25

IPAIRNAMESHIFTNEWSHIFTS/N NAMESHIFTNEWSHIFTS/N
0 19090048 0.509497 0.00000 18.8442 19090045 -0.000121556 0.509619 18.8746
1 19090047 0.509423 7.39694e-05 18.8642 19090049 -0.00122723 0.510724 18.9053
2 19090044 0.507644 0.00185299 18.8134 19090046 -0.000688501 0.510185 18.8663
3 19090043 0.507336 0.00216097 18.7654 19090042 0.00000 0.509497 18.6321