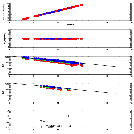
Left plots: red are targets, blue are telluric. Observed mags are calculated from median value of green chip. Zeropoint gives overall throughput: bigger number is more throughput.
First spatial plots: circles are objects, squares are tellurics, crosses are sky fibers. Colors give deviation of observed mag from expected 2MASS mag using the median zeropoint; red is brighter
Second spatial plots: circles are sky fibers. Colors give sky line brightness relative to plate median sky line brightness
FrameNreadsZeropointsMag plots Spatial mag deviation Spatial sky 16325A emission deviations (filled: sky, open: star) Spatial sky continuum emission Spatial sky telluric CO2 absorption deviations (filled: H < 10)
0 0
RedGreenBlue
z17.64
znorm Inf
sky -Inf -NaN -Inf
S/N 32.8 56.2 60.3
S/N(c) 0.0 0.0 0.0
SN(E/C) 0.20

IPAIRNAMESHIFTNEWSHIFTS/N NAMESHIFTNEWSHIFTS/N
0 19440028 0.491086 0.00000 18.0930 19440027 0.00874078 0.482345 18.0425
1 19440012 0.485461 0.00562501 18.8882 19440011 0.00000 0.491086 18.8813
2 19440017 0.486332 0.00475401 18.7601 19440018 0.00453146 0.486555 18.7861
3 19440024 0.488938 0.00214800 18.6399 19440023 0.00812519 0.482961 18.6261
4 19440025 0.489185 0.00190100 18.6195 19440026 0.00815492 0.482931 18.5505
5 19440029 0.491073 1.29938e-05 18.4814 19440030 0.0114358 0.479650 18.5047
6 19440020 0.487835 0.00325102 18.3379 19440019 0.00511545 0.485971 18.3553
7 19440013 0.485983 0.00510299 18.1639 19440014 0.000925770 0.490160 18.0456
8 19440021 0.488468 0.00261801 17.9012 19440022 0.00893873 0.482147 17.9449
9 19440016 0.486834 0.00425202 17.8351 19440015 0.00128925 0.489797 17.7563