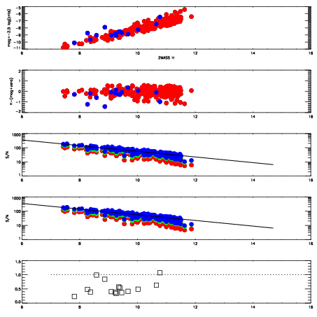
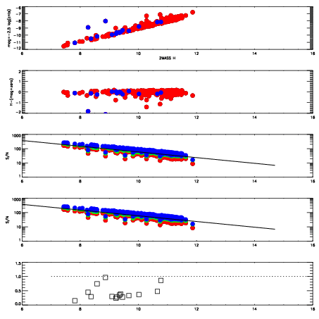
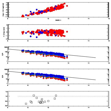
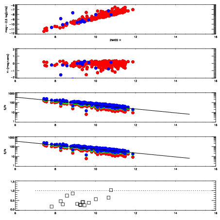
Frame | Nreads | Zeropoints | Mag plots
| Spatial mag deviation
| Spatial sky 16325A emission deviations (filled: sky, open: star)
| Spatial sky continuum emission
| Spatial sky telluric CO2 absorption deviations (filled: H < 10)
|
19710011
| 47
| | Red | Green | Blue
| z | | 18.99
| znorm | | 14.81
| sky | 14.3 | 14.3 | 14.3
| S/N | 7.5 | 13.7 | 14.3
| S/N(c) | 23.6 | 20.5 | 6.8
| SN(E/C) | 0.34
|
|
|
|
|
|
|
19710012
| 47
| | Red | Green | Blue
| z | | 18.97
| znorm | | 14.79
| sky | 14.5 | 14.5 | 14.3
| S/N | 6.9 | 12.8 | 13.4
| S/N(c) | 22.9 | 20.2 | 6.7
| SN(E/C) | 0.37
|
|
|
|
|
|
|
19710013
| 42
| | Red | Green | Blue
| z | | 18.23
| znorm | | 14.18
| sky | 14.7 | 14.7 | 14.6
| S/N | 5.5 | 10.9 | 10.9
| S/N(c) | 14.1 | 14.2 | 4.5
| SN(E/C) | 0.47
|
|
|
|
|
|
|
19710014
| 42
| | Red | Green | Blue
| z | | 18.21
| znorm | | 14.15
| sky | 14.9 | 14.9 | 14.6
| S/N | 5.2 | 10.7 | 11.0
| S/N(c) | 14.1 | 13.9 | 4.4
| SN(E/C) | 0.48
|
|
|
|
|
|
|
19710015
| 42
| | Red | Green | Blue
| z | | 18.36
| znorm | | 14.30
| sky | 15.0 | 15.0 | 14.7
| S/N | 2.3 | 4.8 | 4.9
| S/N(c) | 15.0 | 15.0 | 4.8
| SN(E/C) | 0.41
|
|
|
|
|
|
|
19710016
| 42
| | Red | Green | Blue
| z | | 18.40
| znorm | | 14.34
| sky | 14.8 | 14.8 | 14.6
| S/N | 1.9 | 4.6 | 4.8
| S/N(c) | 15.6 | 15.4 | 4.9
| SN(E/C) | 0.42
|
|
|
|
|
|
|
19710017
| 42
| | Red | Green | Blue
| z | | 18.67
| znorm | | 14.61
| sky | 14.8 | 15.0 | 14.8
| S/N | 7.4 | 14.5 | 16.1
| S/N(c) | 18.4 | 17.5 | 5.6
| SN(E/C) | 0.41
|
|
|
|
|
|
|
19710018
| 42
| | Red | Green | Blue
| z | | 18.68
| znorm | | 14.62
| sky | 14.9 | 14.8 | 14.9
| S/N | 7.9 | 15.3 | 16.8
| S/N(c) | 18.5 | 17.8 | 5.6
| SN(E/C) | 0.42
|
|
|
|
|
|
|