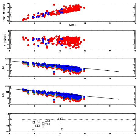
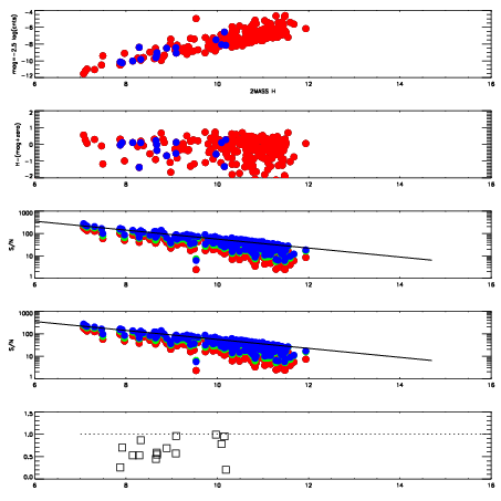
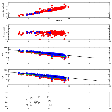
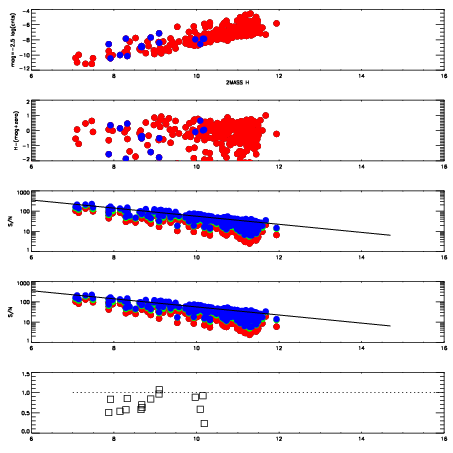
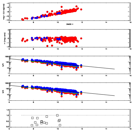
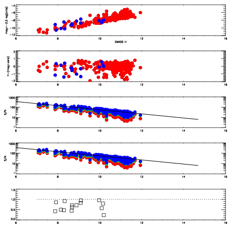
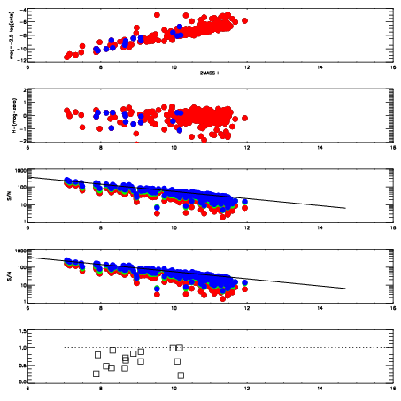
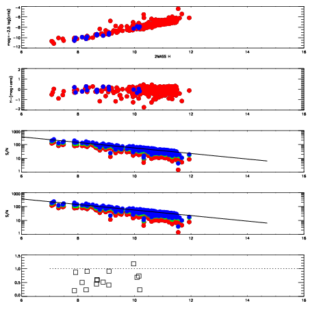
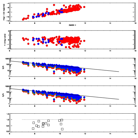
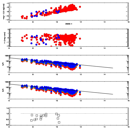
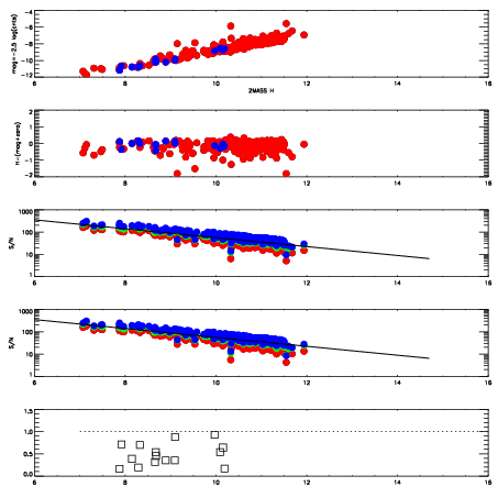
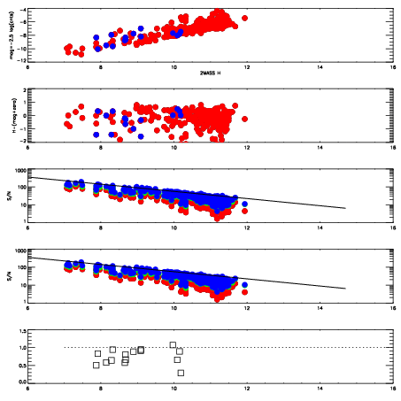
Frame | Nreads | Zeropoints | Mag plots
| Spatial mag deviation
| Spatial sky 16325A emission deviations (filled: sky, open: star)
| Spatial sky continuum emission
| Spatial sky telluric CO2 absorption deviations (filled: H < 10)
|
19210022
| 42
| | Red | Green | Blue
| z | | 18.06
| znorm | | 14.00
| sky | 14.5 | 14.4 | 14.6
| S/N | 7.5 | 14.5 | 16.4
| S/N(c) | 10.3 | 16.7 | 11.3
| SN(E/C) | 0.59
|
|
|
|
|
|
|
19210023
| 42
| | Red | Green | Blue
| z | | 18.03
| znorm | | 13.97
| sky | 14.8 | 14.6 | 14.5
| S/N | 7.3 | 13.7 | 15.8
| S/N(c) | 10.3 | 16.4 | 11.1
| SN(E/C) | 0.61
|
|
|
|
|
|
|
19210024
| 42
| | Red | Green | Blue
| z | | 17.95
| znorm | | 13.89
| sky | 14.8 | 14.6 | 14.7
| S/N | 6.0 | 11.8 | 13.3
| S/N(c) | 10.4 | 16.5 | 10.9
| SN(E/C) | 0.69
|
|
|
|
|
|
|
19210025
| 42
| | Red | Green | Blue
| z | | 18.00
| znorm | | 13.94
| sky | 14.9 | 14.6 | 14.7
| S/N | 5.9 | 11.8 | 13.2
| S/N(c) | 10.6 | 16.8 | 11.1
| SN(E/C) | 0.70
|
|
|
|
|
|
|
19210026
| 42
| | Red | Green | Blue
| z | | 18.94
| znorm | | 14.89
| sky | 14.3 | 14.5 | 14.6
| S/N | 13.6 | 23.1 | 26.4
| S/N(c) | 18.2 | 26.4 | 18.0
| SN(E/C) | 0.46
|
|
|
|
|
|
|
19210027
| 42
| | Red | Green | Blue
| z | | 18.93
| znorm | | 14.87
| sky | 14.9 | 14.6 | 14.5
| S/N | 13.3 | 22.7 | 25.9
| S/N(c) | 17.9 | 26.4 | 18.0
| SN(E/C) | 0.45
|
|
|
|
|
|
|
19210028
| 42
| | Red | Green | Blue
| z | | 18.19
| znorm | | 14.13
| sky | 15.1 | 14.8 | 14.8
| S/N | 8.0 | 15.2 | 16.9
| S/N(c) | 11.6 | 18.2 | 12.1
| SN(E/C) | 0.60
|
|
|
|
|
|
|
19210029
| 42
| | Red | Green | Blue
| z | | 18.07
| znorm | | 14.01
| sky | 14.8 | 14.9 | 14.9
| S/N | 7.1 | 14.0 | 15.4
| S/N(c) | 10.5 | 17.2 | 11.3
| SN(E/C) | 0.66
|
|
|
|
|
|
|
19210030
| 42
| | Red | Green | Blue
| z | | 17.99
| znorm | | 13.93
| sky | 15.0 | 15.0 | 14.8
| S/N | 6.0 | 12.2 | 13.3
| S/N(c) | 10.7 | 17.1 | 11.5
| SN(E/C) | 0.80
|
|
|
|
|
|
|
19210031
| 42
| | Red | Green | Blue
| z | | 18.15
| znorm | | 14.09
| sky | 15.0 | 15.0 | 14.9
| S/N | 6.8 | 13.6 | 15.2
| S/N(c) | 11.9 | 18.6 | 12.5
| SN(E/C) | 0.71
|
|
|
|
|
|
|
19210032
| 42
| | Red | Green | Blue
| z | | 18.51
| znorm | | 14.45
| sky | 15.1 | 14.8 | 15.1
| S/N | 9.6 | 17.5 | 19.9
| S/N(c) | 14.4 | 21.1 | 14.6
| SN(E/C) | 0.50
|
|
|
|
|
|
|
19210033
| 42
| | Red | Green | Blue
| z | | 18.25
| znorm | | 14.19
| sky | 14.9 | 15.1 | 15.1
| S/N | 7.5 | 15.0 | 16.9
| S/N(c) | 11.9 | 18.5 | 12.5
| SN(E/C) | 0.58
|
|
|
|
|
|
|
19210034
| 42
| | Red | Green | Blue
| z | | 17.98
| znorm | | 13.92
| sky | 15.3 | 15.1 | 15.1
| S/N | 5.9 | 12.2 | 13.3
| S/N(c) | 10.1 | 16.4 | 11.0
| SN(E/C) | 0.64
|
|
|
|
|
|
|
19210035
| 42
| | Red | Green | Blue
| z | | 17.95
| znorm | | 13.90
| sky | 15.0 | 15.0 | 14.8
| S/N | 5.5 | 11.7 | 12.8
| S/N(c) | 9.7 | 16.1 | 10.7
| SN(E/C) | 0.65
|
|
|
|
|
|
|
19210036
| 42
| | Red | Green | Blue
| z | | 17.64
| znorm | | 13.58
| sky | 14.8 | 15.1 | 15.2
| S/N | 4.0 | 9.4 | 10.0
| S/N(c) | 8.3 | 14.0 | 9.2
| SN(E/C) | 0.80
|
|
|
|
|
|
|
19210037
| 42
| | Red | Green | Blue
| z | | 17.34
| znorm | | 13.28
| sky | 15.2 | 15.0 | 15.1
| S/N | 3.2 | 7.8 | 8.5
| S/N(c) | 6.6 | 11.7 | 7.7
| SN(E/C) | 0.81
|
|
|
|
|
|
|
19210038
| 42
| | Red | Green | Blue
| z | | 17.75
| znorm | | 13.69
| sky | 15.2 | 15.0 | 15.3
| S/N | 5.3 | 12.2 | 13.1
| S/N(c) | 8.2 | 14.2 | 9.5
| SN(E/C) | 0.69
|
|
|
|
|
|
|
19210039
| 42
| | Red | Green | Blue
| z | | 17.63
| znorm | | 13.57
| sky | 15.0 | 15.2 | 15.2
| S/N | 5.1 | 11.4 | 12.6
| S/N(c) | 7.5 | 13.1 | 8.8
| SN(E/C) | 0.65
|
|
|
|
|
|
|