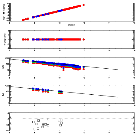
Left plots: red are targets, blue are telluric. Observed mags are calculated from median value of green chip. Zeropoint gives overall throughput: bigger number is more throughput.
First spatial plots: circles are objects, squares are tellurics, crosses are sky fibers. Colors give deviation of observed mag from expected 2MASS mag using the median zeropoint; red is brighter
Second spatial plots: circles are sky fibers. Colors give sky line brightness relative to plate median sky line brightness
FrameNreadsZeropointsMag plots Spatial mag deviation Spatial sky 16325A emission deviations (filled: sky, open: star) Spatial sky continuum emission Spatial sky telluric CO2 absorption deviations (filled: H < 10)
0 0
RedGreenBlue
z17.64
znorm Inf
sky -NaN -Inf -NaN
S/N 12.1 24.8 27.8
S/N(c) 0.0 0.0 0.0
SN(E/C) 0.54

IPAIRNAMESHIFTNEWSHIFTS/N NAMESHIFTNEWSHIFTS/N
0 19220036 0.497214 0.00000 18.2596 19220037 0.00456525 0.492649 18.2119
1 19220035 0.496424 0.000790000 18.2969 19220034 0.00000 0.497214 18.3440
2 19220039 0.490982 0.00623199 18.0829 19220038 0.00487106 0.492343 17.9701