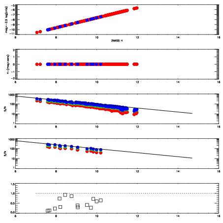
Left plots: red are targets, blue are telluric. Observed mags are calculated from median value of green chip. Zeropoint gives overall throughput: bigger number is more throughput.
First spatial plots: circles are objects, squares are tellurics, crosses are sky fibers. Colors give deviation of observed mag from expected 2MASS mag using the median zeropoint; red is brighter
Second spatial plots: circles are sky fibers. Colors give sky line brightness relative to plate median sky line brightness
FrameNreadsZeropointsMag plots Spatial mag deviation Spatial sky 16325A emission deviations (filled: sky, open: star) Spatial sky continuum emission Spatial sky telluric CO2 absorption deviations (filled: H < 10)
0 0
RedGreenBlue
z17.64
znorm Inf
sky -Inf -Inf -Inf
S/N 12.0 23.4 25.2
S/N(c) 0.0 0.0 0.0
SN(E/C) 0.41

IPAIRNAMESHIFTNEWSHIFTS/N NAMESHIFTNEWSHIFTS/N
0 19230032 0.502819 0.00000 17.8609 19230033 0.00236083 0.500458 17.9380
1 19230035 0.498779 0.00404000 17.9395 19230034 0.00135206 0.501467 18.0668
2 19230031 0.501428 0.00139099 17.8558 19230030 0.00000 0.502819 17.8596