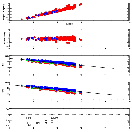
Frame | Nreads | Zeropoints | Mag plots
| Spatial mag deviation
| Spatial sky 16325A emission deviations (filled: sky, open: star)
| Spatial sky continuum emission
| Spatial sky telluric CO2 absorption deviations (filled: H < 10)
|
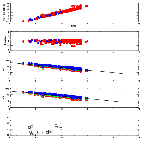
19210011
| 47
| | Red | Green | Blue
| z | | 18.97
| znorm | | 14.79
| sky | 14.0 | 14.0 | 13.8
| S/N | 13.8 | 22.3 | 24.9
| S/N(c) | 15.0 | 11.2 | 9.1
| SN(E/C) | 0.31
|
|
|
|
|
|
|
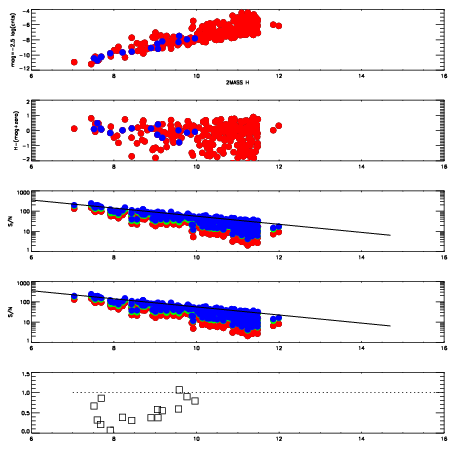
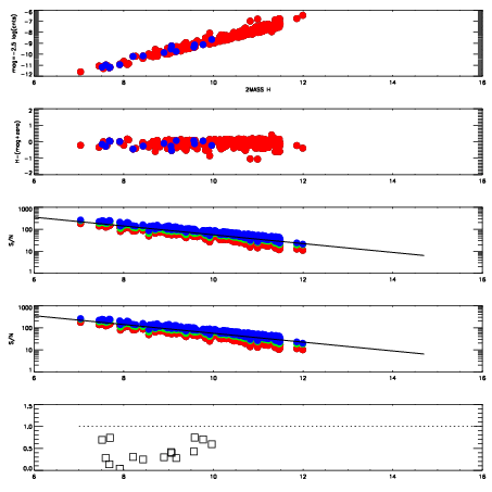
19210012
| 47
| | Red | Green | Blue
| z | | 18.99
| znorm | | 14.80
| sky | 14.3 | 14.1 | 13.9
| S/N | 14.3 | 22.8 | 24.6
| S/N(c) | 15.1 | 11.3 | 9.1
| SN(E/C) | 0.30
|
|
|
|
|
|
|
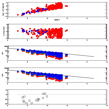
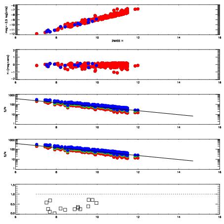
19210013
| 42
| | Red | Green | Blue
| z | | 17.59
| znorm | | 13.53
| sky | 14.6 | 14.3 | 14.2
| S/N | 9.7 | 17.2 | 18.3
| S/N(c) | 5.9 | 5.3 | 4.1
| SN(E/C) | 0.58
|
|
|
|
|
|
|
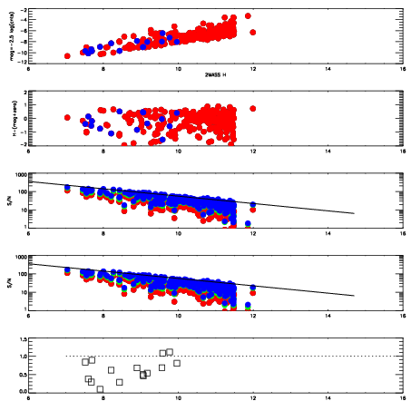
19210014
| 42
| | Red | Green | Blue
| z | | 17.60
| znorm | | 13.54
| sky | 14.6 | 14.6 | 14.5
| S/N | 9.3 | 16.8 | 18.1
| S/N(c) | 5.9 | 5.3 | 4.2
| SN(E/C) | 0.62
|
|
|
|
|
|
|
19210015
| 42
| | Red | Green | Blue
| z | | 17.85
| znorm | | 13.79
| sky | 14.7 | 14.6 | 14.4
| S/N | 8.4 | 15.2 | 15.8
| S/N(c) | 7.1 | 6.2 | 4.7
| SN(E/C) | 0.55
|
|
|
|
|
|
|
19210016
| 42
| | Red | Green | Blue
| z | | 17.78
| znorm | | 13.73
| sky | 14.6 | 14.6 | 14.4
| S/N | 8.0 | 14.9 | 15.4
| S/N(c) | 6.6 | 5.9 | 4.5
| SN(E/C) | 0.51
|
|
|
|
|
|
|
19210017
| 42
| | Red | Green | Blue
| z | | 18.91
| znorm | | 14.85
| sky | 14.5 | 14.6 | 14.4
| S/N | 11.9 | 18.6 | 22.6
| S/N(c) | 14.2 | 11.0 | 8.6
| SN(E/C) | 0.39
|
|
|
|
|
|
|
19210018
| 42
| | Red | Green | Blue
| z | | 18.85
| znorm | | 14.79
| sky | 14.6 | 14.7 | 14.3
| S/N | 11.4 | 18.0 | 21.9
| S/N(c) | 13.6 | 10.7 | 8.3
| SN(E/C) | 0.40
|
|
|
|
|
|
|