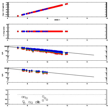
Left plots: red are targets, blue are telluric. Observed mags are calculated from median value of green chip. Zeropoint gives overall throughput: bigger number is more throughput.
First spatial plots: circles are objects, squares are tellurics, crosses are sky fibers. Colors give deviation of observed mag from expected 2MASS mag using the median zeropoint; red is brighter
Second spatial plots: circles are sky fibers. Colors give sky line brightness relative to plate median sky line brightness
FrameNreadsZeropointsMag plots Spatial mag deviation Spatial sky 16325A emission deviations (filled: sky, open: star) Spatial sky continuum emission Spatial sky telluric CO2 absorption deviations (filled: H < 10)
0 0
RedGreenBlue
z17.64
znorm Inf
sky -Inf -Inf -NaN
S/N 19.2 34.1 37.2
S/N(c) 0.0 0.0 0.0
SN(E/C) 0.28

IPAIRNAMESHIFTNEWSHIFTS/N NAMESHIFTNEWSHIFTS/N
0 19210016 0.503856 0.00000 17.6673 19210015 0.00184938 0.502007 17.7569
1 19210012 0.498749 0.00510702 18.9413 19210011 0.00000 0.503856 18.9420
2 19210017 0.502999 0.000856996 18.8825 19210018 0.00151080 0.502345 18.8143
3 19210013 0.501256 0.00260001 17.4451 19210014 0.00173156 0.502124 17.4682