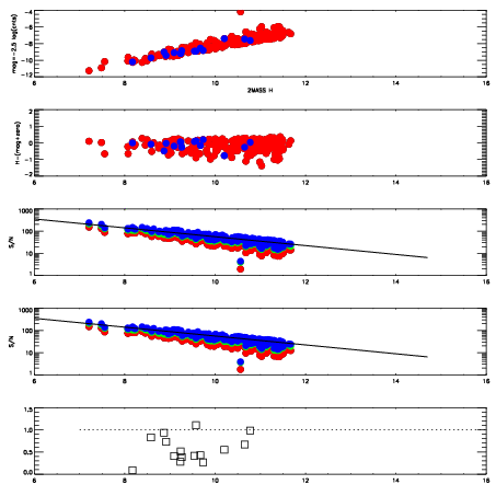
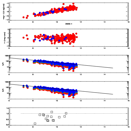
Left plots: red are targets, blue are telluric. Observed mags are calculated from median value of green chip. Zeropoint gives overall throughput: bigger number is more throughput.
First spatial plots: circles are objects, squares are tellurics, crosses are sky fibers. Colors give deviation of observed mag from expected 2MASS mag using the median zeropoint; red is brighter
Second spatial plots: circles are sky fibers. Colors give sky line brightness relative to plate median sky line brightness
FrameNreadsZeropointsMag plots Spatial mag deviation Spatial sky 16325A emission deviations (filled: sky, open: star) Spatial sky continuum emission Spatial sky telluric CO2 absorption deviations (filled: H < 10)
19860012 42
RedGreenBlue
z17.50
znorm13.44
sky 14.2 14.5 14.4
S/N 5.3 11.3 12.3
S/N(c) 7.0 9.1 5.7
SN(E/C) 0.69
19860013 42
RedGreenBlue
z17.82
znorm13.76
sky 14.4 14.6 14.6
S/N 7.1 13.5 15.2
S/N(c) 9.0 11.0 6.9
SN(E/C) 0.66
19860014 42
RedGreenBlue
z18.01
znorm13.96
sky 14.6 14.6 14.6
S/N 9.0 15.7 18.7
S/N(c) 9.3 11.4 7.2
SN(E/C) 0.63
19860015 42
RedGreenBlue
z18.37
znorm14.31
sky 14.5 14.6 14.5
S/N 11.5 19.1 23.7
S/N(c) 11.6 13.5 8.7
SN(E/C) 0.51
19860016 42
RedGreenBlue
z17.74
znorm13.68
sky 14.4 14.6 14.6
S/N 7.7 13.8 15.7
S/N(c) 7.7 9.8 6.2
SN(E/C) 0.73
19860017 42
RedGreenBlue
z17.82
znorm13.76
sky 14.5 14.6 14.6
S/N 8.0 13.8 17.1
S/N(c) 8.4 10.3 6.5
SN(E/C) 0.72