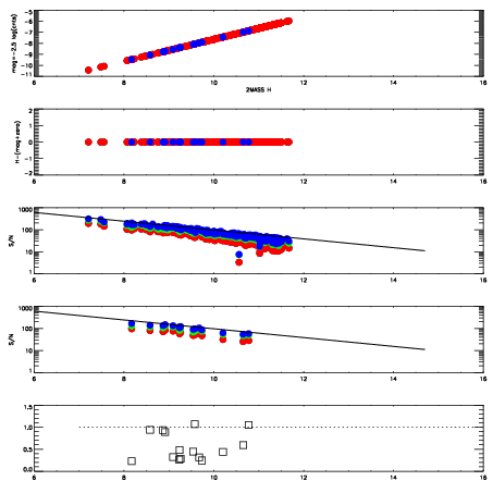
Left plots: red are targets, blue are telluric. Observed mags are calculated from median value of green chip. Zeropoint gives overall throughput: bigger number is more throughput.
First spatial plots: circles are objects, squares are tellurics, crosses are sky fibers. Colors give deviation of observed mag from expected 2MASS mag using the median zeropoint; red is brighter
Second spatial plots: circles are sky fibers. Colors give sky line brightness relative to plate median sky line brightness
FrameNreadsZeropointsMag plots Spatial mag deviation Spatial sky 16325A emission deviations (filled: sky, open: star) Spatial sky continuum emission Spatial sky telluric CO2 absorption deviations (filled: H < 10)
0 0
RedGreenBlue
z17.64
znorm Inf
sky -Inf -Inf -Inf
S/N 13.1 22.8 27.8
S/N(c) 0.0 0.0 0.0
SN(E/C) 0.45

IPAIRNAMESHIFTNEWSHIFTS/N NAMESHIFTNEWSHIFTS/N
0 19860017 0.499223 0.00000 17.7417 19860012 0.00000 0.499223 17.4320
1 19860014 0.497400 0.00182301 17.9728 19860015 -0.00749076 0.506714 18.3169
2 19860013 0.495529 0.00369400 17.7769 19860016 -0.00757437 0.506797 17.6576