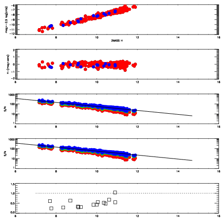
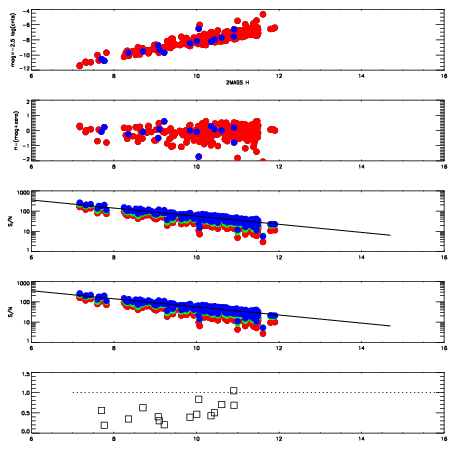
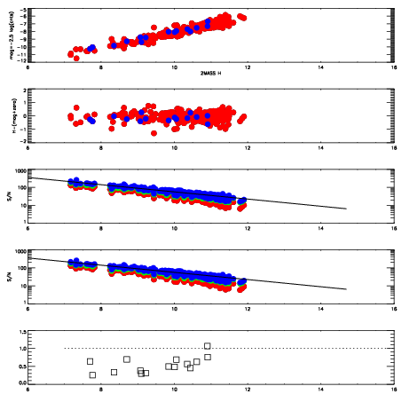
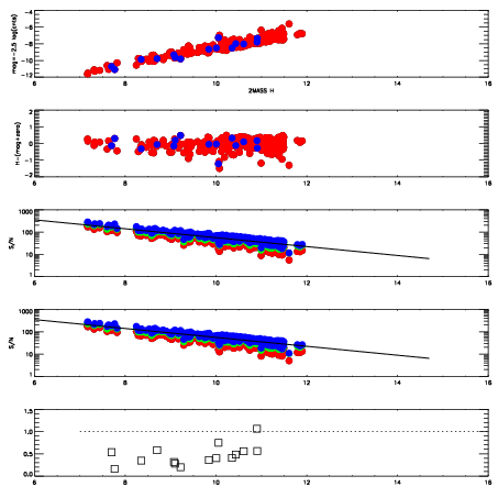
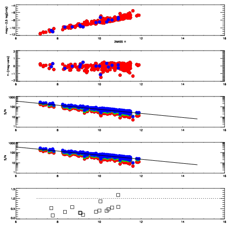
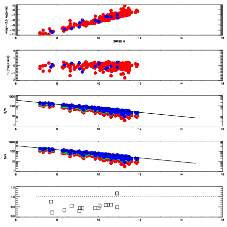
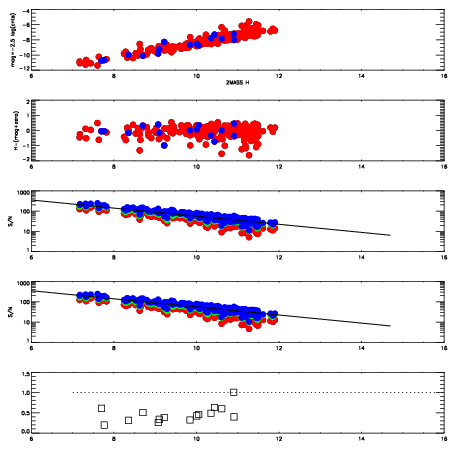
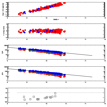
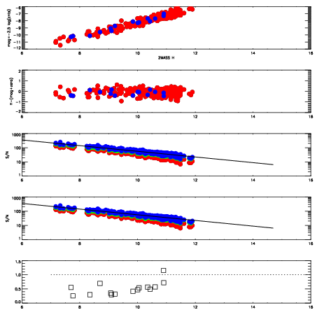
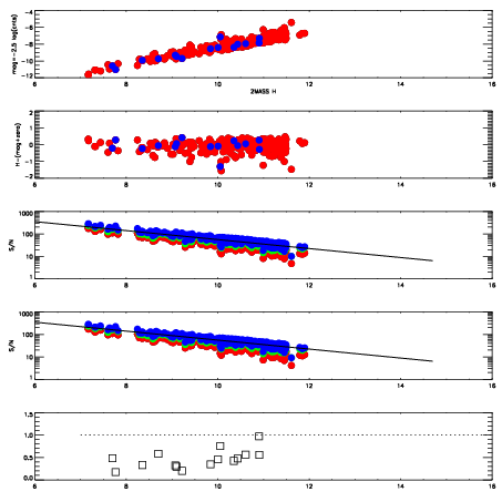
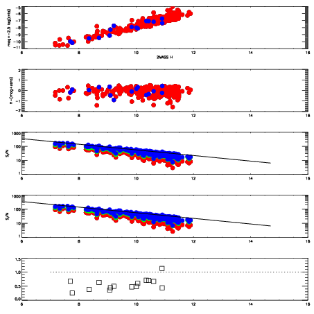
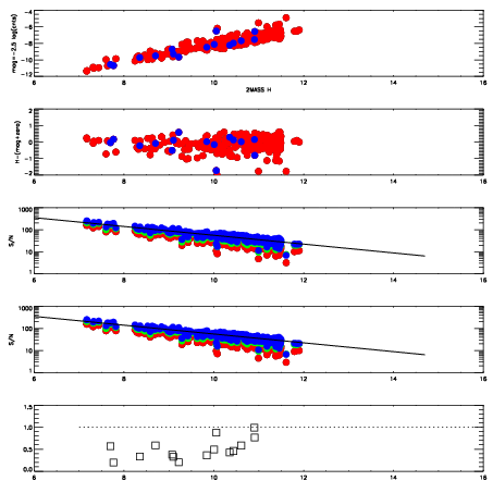
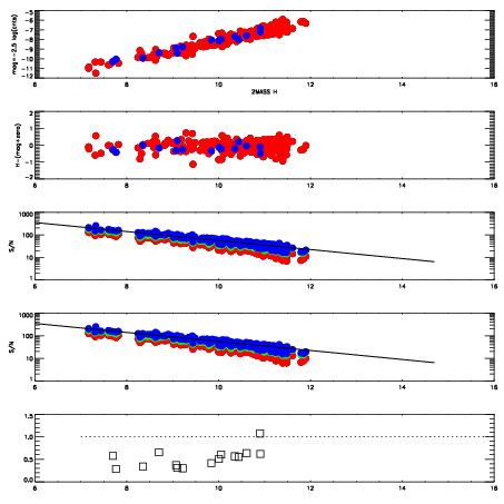
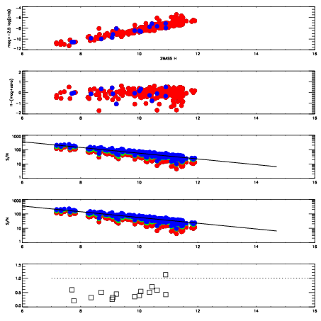
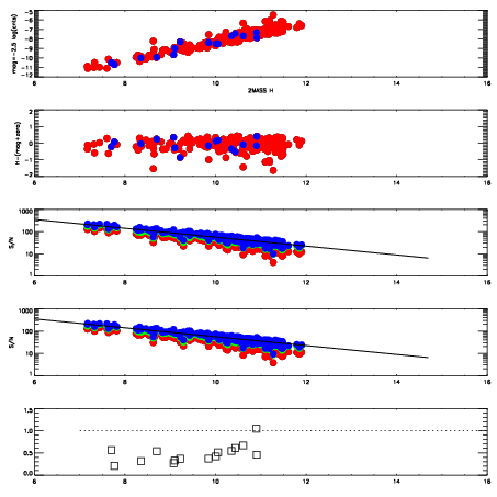
Frame | Nreads | Zeropoints | Mag plots
| Spatial mag deviation
| Spatial sky 16325A emission deviations (filled: sky, open: star)
| Spatial sky continuum emission
| Spatial sky telluric CO2 absorption deviations (filled: H < 10)
|
18920010
| 42
| | Red | Green | Blue
| z | | 18.29
| znorm | | 14.23
| sky | 14.7 | 14.7 | 14.9
| S/N | 9.7 | 17.2 | 19.5
| S/N(c) | 14.9 | 11.4 | 3.9
| SN(E/C) | 0.46
|
|
|
|
|
|
|
18920011
| 42
| | Red | Green | Blue
| z | | 18.31
| znorm | | 14.25
| sky | 15.0 | 15.3 | 15.1
| S/N | 9.9 | 17.2 | 19.7
| S/N(c) | 15.1 | 11.4 | 3.9
| SN(E/C) | 0.46
|
|
|
|
|
|
|
18920012
| 42
| | Red | Green | Blue
| z | | 18.22
| znorm | | 14.16
| sky | 14.7 | 15.2 | 15.3
| S/N | 7.1 | 13.6 | 15.3
| S/N(c) | 14.1 | 11.1 | 3.7
| SN(E/C) | 0.50
|
|
|
|
|
|
|
18920013
| 42
| | Red | Green | Blue
| z | | 18.25
| znorm | | 14.19
| sky | 15.3 | 15.3 | 15.2
| S/N | 7.6 | 13.5 | 15.6
| S/N(c) | 14.3 | 11.3 | 3.8
| SN(E/C) | 0.55
|
|
|
|
|
|
|
18920014
| 42
| | Red | Green | Blue
| z | | 18.48
| znorm | | 14.43
| sky | 15.3 | 15.1 | 15.2
| S/N | 11.1 | 20.2 | 23.8
| S/N(c) | 17.9 | 13.0 | 4.5
| SN(E/C) | 0.42
|
|
|
|
|
|
|
18920015
| 42
| | Red | Green | Blue
| z | | 18.36
| znorm | | 14.30
| sky | 15.4 | 15.2 | 15.1
| S/N | 10.0 | 18.9 | 22.3
| S/N(c) | 16.5 | 12.5 | 4.3
| SN(E/C) | 0.44
|
|
|
|
|
|
|
18920016
| 42
| | Red | Green | Blue
| z | | 18.49
| znorm | | 14.43
| sky | 15.0 | 15.2 | 15.3
| S/N | 11.1 | 20.2 | 23.4
| S/N(c) | 16.9 | 12.5 | 4.3
| SN(E/C) | 0.41
|
|
|
|
|
|
|
18920017
| 42
| | Red | Green | Blue
| z | | 18.54
| znorm | | 14.48
| sky | 15.6 | 15.3 | 15.0
| S/N | 11.6 | 20.6 | 24.1
| S/N(c) | 17.3 | 12.9 | 4.4
| SN(E/C) | 0.41
|
|
|
|
|
|
|
18920018
| 42
| | Red | Green | Blue
| z | | 18.35
| znorm | | 14.29
| sky | 15.2 | 15.0 | 15.2
| S/N | 7.7 | 14.7 | 16.8
| S/N(c) | 15.5 | 12.0 | 4.1
| SN(E/C) | 0.49
|
|
|
|
|
|
|
18920019
| 42
| | Red | Green | Blue
| z | | 18.38
| znorm | | 14.33
| sky | 15.3 | 15.3 | 15.2
| S/N | 8.1 | 15.3 | 17.4
| S/N(c) | 15.9 | 12.2 | 4.1
| SN(E/C) | 0.45
|
|
|
|
|
|
|
18920020
| 42
| | Red | Green | Blue
| z | | 18.38
| znorm | | 14.32
| sky | 15.5 | 15.3 | 15.1
| S/N | 10.7 | 19.4 | 22.3
| S/N(c) | 16.0 | 12.1 | 4.2
| SN(E/C) | 0.46
|
|
|
|
|
|
|
18920021
| 42
| | Red | Green | Blue
| z | | 18.33
| znorm | | 14.27
| sky | 15.3 | 15.2 | 15.1
| S/N | 10.2 | 19.0 | 21.0
| S/N(c) | 15.3 | 11.9 | 4.0
| SN(E/C) | 0.41
|
|
|
|
|
|
|
18920022
| 42
| | Red | Green | Blue
| z | | 18.50
| znorm | | 14.44
| sky | 15.0 | 15.5 | 15.1
| S/N | 11.5 | 20.5 | 23.4
| S/N(c) | 16.9 | 12.8 | 4.3
| SN(E/C) | 0.46
|
|
|
|
|
|
|
18920023
| 42
| | Red | Green | Blue
| z | | 18.47
| znorm | | 14.41
| sky | 15.2 | 15.3 | 15.3
| S/N | 11.4 | 20.4 | 23.0
| S/N(c) | 16.6 | 12.6 | 4.2
| SN(E/C) | 0.46
|
|
|
|
|
|
|
18920024
| 42
| | Red | Green | Blue
| z | | 18.30
| znorm | | 14.24
| sky | 15.5 | 15.4 | 15.4
| S/N | 7.4 | 14.5 | 16.5
| S/N(c) | 15.1 | 11.7 | 4.0
| SN(E/C) | 0.48
|
|
|
|
|
|
|
18920025
| 42
| | Red | Green | Blue
| z | | 18.40
| znorm | | 14.34
| sky | 15.2 | 15.2 | 15.2
| S/N | 8.1 | 16.0 | 18.7
| S/N(c) | 16.2 | 12.4 | 4.1
| SN(E/C) | 0.48
|
|
|
|
|
|
|
18920026
| 42
| | Red | Green | Blue
| z | | 18.11
| znorm | | 14.05
| sky | 15.5 | 15.5 | 15.7
| S/N | 8.4 | 16.6 | 18.3
| S/N(c) | 13.2 | 10.4 | 3.6
| SN(E/C) | 0.48
|
|
|
|
|
|
|
18920027
| 42
| | Red | Green | Blue
| z | | 17.85
| znorm | | 13.79
| sky | 15.2 | 15.6 | 15.5
| S/N | 6.8 | 14.4 | 15.5
| S/N(c) | 11.1 | 9.0 | 3.0
| SN(E/C) | 0.49
|
|
|
|
|
|
|