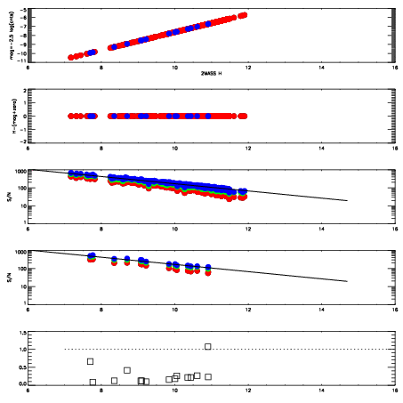
Left plots: red are targets, blue are telluric. Observed mags are calculated from median value of green chip. Zeropoint gives overall throughput: bigger number is more throughput.
First spatial plots: circles are objects, squares are tellurics, crosses are sky fibers. Colors give deviation of observed mag from expected 2MASS mag using the median zeropoint; red is brighter
Second spatial plots: circles are sky fibers. Colors give sky line brightness relative to plate median sky line brightness
FrameNreadsZeropointsMag plots Spatial mag deviation Spatial sky 16325A emission deviations (filled: sky, open: star) Spatial sky continuum emission Spatial sky telluric CO2 absorption deviations (filled: H < 10)
0 0
RedGreenBlue
z17.64
znorm Inf
sky -Inf -Inf -Inf
S/N 24.9 48.7 58.6
S/N(c) 0.0 0.0 0.0
SN(E/C) 0.22

IPAIRNAMESHIFTNEWSHIFTS/N NAMESHIFTNEWSHIFTS/N
0 18920012 0.508393 0.00000 18.1677 18920013 -0.000533161 0.508926 18.2142
1 18920016 0.504829 0.00356400 18.4642 18920017 -0.00292426 0.511317 18.4956
2 18920023 0.500785 0.00760800 18.4268 18920022 -0.00525267 0.513646 18.4500
3 18920019 0.501939 0.00645399 18.3568 18920014 -0.00171976 0.510113 18.4499
4 18920020 0.501729 0.00666398 18.3533 18920025 -0.00651121 0.514904 18.3720
5 18920015 0.504769 0.00362396 18.3178 18920018 -0.00332974 0.511723 18.3067
6 18920024 0.501559 0.00683397 18.2655 18920021 -0.00482750 0.513220 18.2880
7 18920011 0.507483 0.000909984 18.2414 18920010 0.00000 0.508393 18.2184
8 18920027 0.500315 0.00807798 17.8107 18920026 -0.00613546 0.514528 18.0762