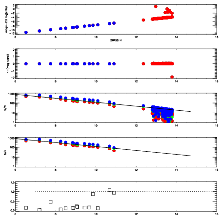
Left plots: red are targets, blue are telluric. Observed mags are calculated from median value of green chip. Zeropoint gives overall throughput: bigger number is more throughput.
First spatial plots: circles are objects, squares are tellurics, crosses are sky fibers. Colors give deviation of observed mag from expected 2MASS mag using the median zeropoint; red is brighter
Second spatial plots: circles are sky fibers. Colors give sky line brightness relative to plate median sky line brightness
FrameNreadsZeropointsMag plots Spatial mag deviation Spatial sky 16325A emission deviations (filled: sky, open: star) Spatial sky continuum emission Spatial sky telluric CO2 absorption deviations (filled: H < 10)
0 0
RedGreenBlue
z17.65
znorm Inf
sky -Inf -Inf -NaN
S/N 25.2 41.1 49.2
S/N(c) 18.7 45.6 57.7
SN(E/C) 0.18

IPAIRNAMESHIFTNEWSHIFTS/N NAMESHIFTNEWSHIFTS/N
0 19360020 0.00209068 0.00000 18.9967 19360021 -0.484853 0.486944 18.9669
1 19360023 0.00124262 0.000848060 18.9942 19360022 -0.484852 0.486943 18.9478
2 19360019 0.00139627 0.000694410 18.9294 19360017 -0.488116 0.490207 18.9198
3 19360016 0.00000 0.00209068 18.8103 19360018 -0.488085 0.490176 18.9109