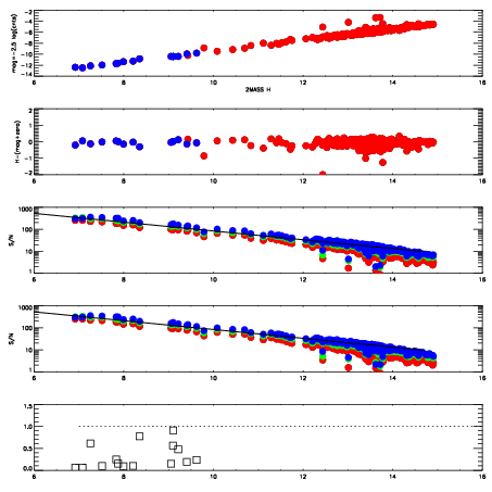
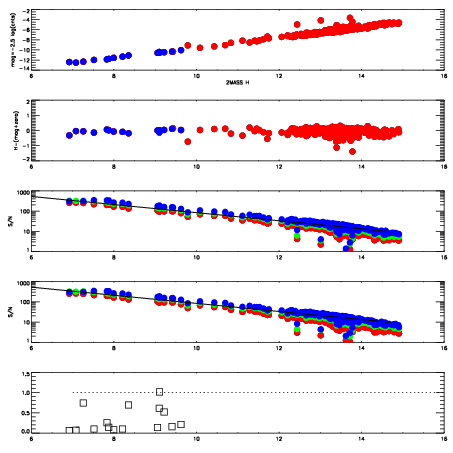
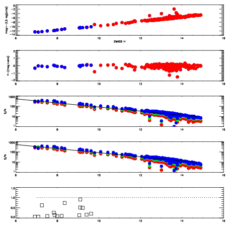
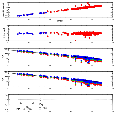
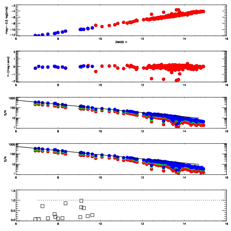
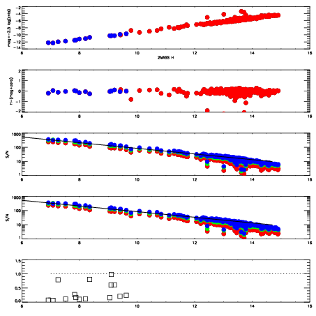
Left plots: red are targets, blue are telluric. Observed mags are calculated from median value of green chip. Zeropoint gives overall throughput: bigger number is more throughput.
First spatial plots: circles are objects, squares are tellurics, crosses are sky fibers. Colors give deviation of observed mag from expected 2MASS mag using the median zeropoint; red is brighter
Second spatial plots: circles are sky fibers. Colors give sky line brightness relative to plate median sky line brightness
FrameNreadsZeropointsMag plots Spatial mag deviation Spatial sky 16325A emission deviations (filled: sky, open: star) Spatial sky continuum emission Spatial sky telluric CO2 absorption deviations (filled: H < 10)
19090053 94
RedGreenBlue
z19.62
znorm14.69
sky 15.3 14.6 14.8
S/N 21.0 30.5 36.5
S/N(c) 30.0107.5 13.0
SN(E/C) 0.16
19090054 94
RedGreenBlue
z19.63
znorm14.70
sky 15.2 14.8 14.8
S/N 20.8 30.3 36.4
S/N(c) 30.5107.3 15.3
SN(E/C) 0.16
19090055 94
RedGreenBlue
z19.53
znorm14.60
sky 15.4 15.0 14.8
S/N 19.6 29.0 34.6
S/N(c) 28.6100.3 14.6
SN(E/C) 0.17
19090056 94
RedGreenBlue
z19.05
znorm14.11
sky 15.4 15.0 14.9
S/N 15.7 23.2 27.1
S/N(c) 22.2 78.2 11.3
SN(E/C) 0.23
19090057 94
RedGreenBlue
z19.34
znorm14.40
sky 15.4 15.1 15.0
S/N 17.4 26.0 30.7
S/N(c) 25.0 87.8 12.8
SN(E/C) 0.20
19090058 94
RedGreenBlue
z19.49
znorm14.56
sky 15.4 15.1 14.9
S/N 19.1 27.7 32.9
S/N(c) 25.8 91.0 13.2
SN(E/C) 0.19