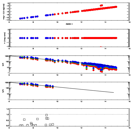
Left plots: red are targets, blue are telluric. Observed mags are calculated from median value of green chip. Zeropoint gives overall throughput: bigger number is more throughput.
First spatial plots: circles are objects, squares are tellurics, crosses are sky fibers. Colors give deviation of observed mag from expected 2MASS mag using the median zeropoint; red is brighter
Second spatial plots: circles are sky fibers. Colors give sky line brightness relative to plate median sky line brightness
FrameNreadsZeropointsMag plots Spatial mag deviation Spatial sky 16325A emission deviations (filled: sky, open: star) Spatial sky continuum emission Spatial sky telluric CO2 absorption deviations (filled: H < 10)
0 0
RedGreenBlue
z17.64
znorm Inf
sky -NaN -NaN -NaN
S/N 28.9 43.4 54.3
S/N(c) 39.2136.7 20.5
SN(E/C) 0.15

IPAIRNAMESHIFTNEWSHIFTS/N NAMESHIFTNEWSHIFTS/N
0 19090055 0.508313 0.00000 19.5171 19090057 0.00131754 0.506995 19.3133
1 19090054 0.507806 0.000506997 19.6292 19090053 0.00000 0.508313 19.6510
2 19090058 0.508181 0.000132024 19.4667 19090056 0.00190369 0.506409 19.0403