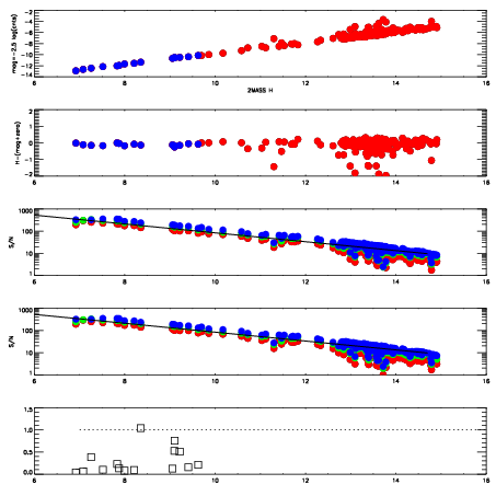
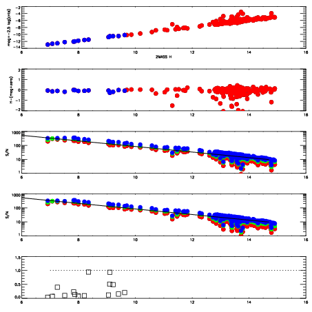
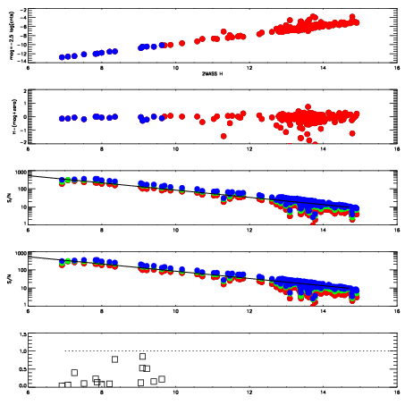
Left plots: red are targets, blue are telluric. Observed mags are calculated from median value of green chip. Zeropoint gives overall throughput: bigger number is more throughput.
First spatial plots: circles are objects, squares are tellurics, crosses are sky fibers. Colors give deviation of observed mag from expected 2MASS mag using the median zeropoint; red is brighter
Second spatial plots: circles are sky fibers. Colors give sky line brightness relative to plate median sky line brightness
FrameNreadsZeropointsMag plots Spatial mag deviation Spatial sky 16325A emission deviations (filled: sky, open: star) Spatial sky continuum emission Spatial sky telluric CO2 absorption deviations (filled: H < 10)
19070047 94
RedGreenBlue
z19.85
znorm14.91
sky 14.9 14.5 14.8
S/N 29.3 41.1 49.1
S/N(c) 50.5 11.0 37.5
SN(E/C) 0.16
19070048 94
RedGreenBlue
z19.90
znorm14.96
sky 15.1 14.8 14.7
S/N 29.3 42.6 50.4
S/N(c) 52.4 11.4 37.8
SN(E/C) 0.15
19070049 94
RedGreenBlue
z19.87
znorm14.94
sky 15.0 14.8 14.8
S/N 28.6 41.8 49.2
S/N(c) 51.7 11.3 37.0
SN(E/C) 0.13
19070050 94
RedGreenBlue
z19.84
znorm14.90
sky 15.1 14.9 14.8
S/N 28.3 41.2 48.6
S/N(c) 50.9 11.1 36.2
SN(E/C) 0.16