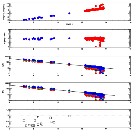
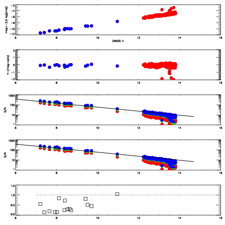
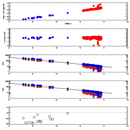
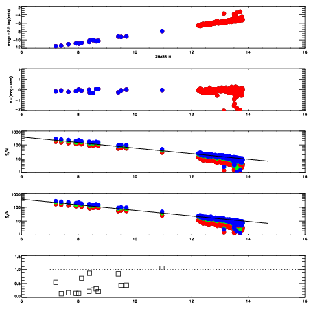
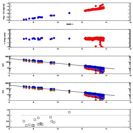
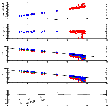
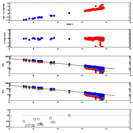
Frame | Nreads | Zeropoints | Mag plots
| Spatial mag deviation
| Spatial sky 16325A emission deviations (filled: sky, open: star)
| Spatial sky continuum emission
| Spatial sky telluric CO2 absorption deviations (filled: H < 10)
|
19070061
| 47
| | Red | Green | Blue
| z | | 18.89
| znorm | | 14.71
| sky | 14.6 | 14.5 | 14.5
| S/N | 15.9 | 22.7 | 28.1
| S/N(c) | 16.9 | 26.0 | 28.7
| SN(E/C) | 0.31
|
|
|
|
|
|
|
19070062
| 47
| | Red | Green | Blue
| z | | 18.95
| znorm | | 14.77
| sky | 14.8 | 14.5 | 14.7
| S/N | 16.5 | 23.6 | 29.1
| S/N(c) | 17.3 | 26.7 | 29.4
| SN(E/C) | 0.29
|
|
|
|
|
|
|
19070063
| 47
| | Red | Green | Blue
| z | | 18.86
| znorm | | 14.68
| sky | 14.5 | 14.4 | 14.5
| S/N | 15.2 | 22.3 | 27.3
| S/N(c) | 16.5 | 25.6 | 28.0
| SN(E/C) | 0.27
|
|
|
|
|
|
|
19070064
| 47
| | Red | Green | Blue
| z | | 18.91
| znorm | | 14.73
| sky | 14.8 | 14.7 | 14.8
| S/N | 15.4 | 22.5 | 27.5
| S/N(c) | 16.7 | 25.9 | 28.3
| SN(E/C) | 0.31
|
|
|
|
|
|
|
19070065
| 47
| | Red | Green | Blue
| z | | 18.77
| znorm | | 14.59
| sky | 14.9 | 14.7 | 14.7
| S/N | 14.2 | 21.2 | 25.7
| S/N(c) | 15.6 | 24.4 | 26.8
| SN(E/C) | 0.32
|
|
|
|
|
|
|
19070066
| 47
| | Red | Green | Blue
| z | | 18.90
| znorm | | 14.72
| sky | 14.7 | 14.6 | 14.9
| S/N | 15.4 | 22.5 | 27.6
| S/N(c) | 16.6 | 25.8 | 28.3
| SN(E/C) | 0.28
|
|
|
|
|
|
|
19070067
| 47
| | Red | Green | Blue
| z | | 18.85
| znorm | | 14.67
| sky | 14.9 | 14.8 | 14.9
| S/N | 14.4 | 21.2 | 25.8
| S/N(c) | 15.9 | 24.9 | 27.3
| SN(E/C) | 0.30
|
|
|
|
|
|
|
19070068
| 47
| | Red | Green | Blue
| z | | 18.65
| znorm | | 14.47
| sky | 14.7 | 14.8 | 14.9
| S/N | 12.6 | 19.1 | 23.1
| S/N(c) | 14.3 | 22.4 | 24.6
| SN(E/C) | 0.31
|
|
|
|
|
|
|