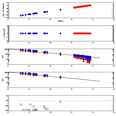
Left plots: red are targets, blue are telluric. Observed mags are calculated from median value of green chip. Zeropoint gives overall throughput: bigger number is more throughput.
First spatial plots: circles are objects, squares are tellurics, crosses are sky fibers. Colors give deviation of observed mag from expected 2MASS mag using the median zeropoint; red is brighter
Second spatial plots: circles are sky fibers. Colors give sky line brightness relative to plate median sky line brightness
FrameNreadsZeropointsMag plots Spatial mag deviation Spatial sky 16325A emission deviations (filled: sky, open: star) Spatial sky continuum emission Spatial sky telluric CO2 absorption deviations (filled: H < 10)
0 0
RedGreenBlue
z17.64
znorm Inf
sky -Inf -Inf -Inf
S/N 38.5 58.6 73.1
S/N(c) 45.2 70.9 78.7
SN(E/C) 0.14

IPAIRNAMESHIFTNEWSHIFTS/N NAMESHIFTNEWSHIFTS/N
0 19100066 0.00203734 0.00000 18.9234 19100065 -0.503121 0.505158 18.9469
1 19100063 0.00113071 0.000906630 19.0290 19100061 -0.502597 0.504634 19.0421
2 19100062 0.00116203 0.000875310 19.0215 19100064 -0.502911 0.504948 19.0100
3 19100059 0.00000 0.00203734 19.0209 19100060 -0.502181 0.504218 19.0030
4 19100070 -0.000806468 0.00284381 19.0104 19100069 -0.503212 0.505249 18.9988
5 19100071 -0.000893925 0.00293127 18.9490 19100072 -0.506561 0.508598 18.9849
6 19100067 0.00196873 6.86101e-05 18.8939 19100068 -0.502856 0.504893 18.9284