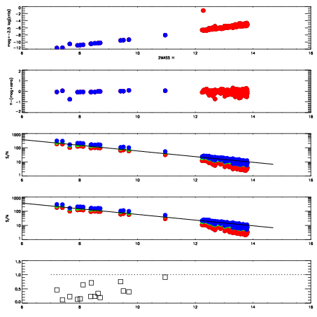
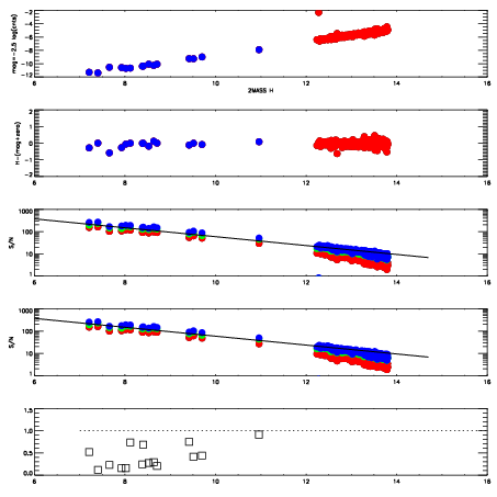
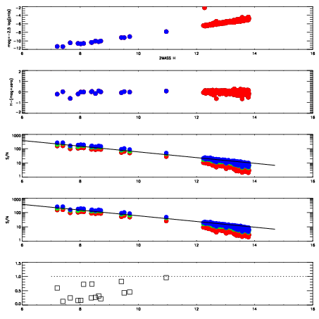
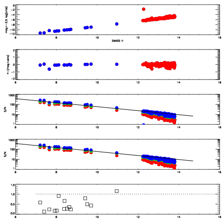
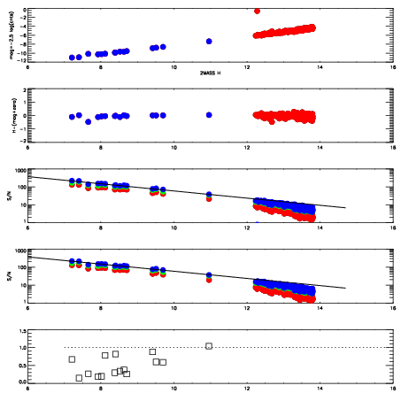
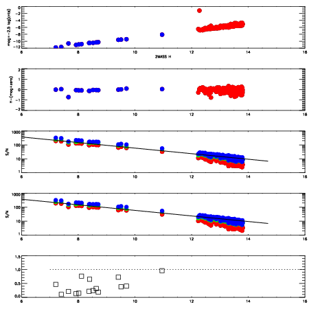
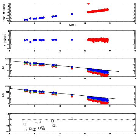
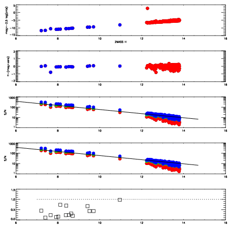
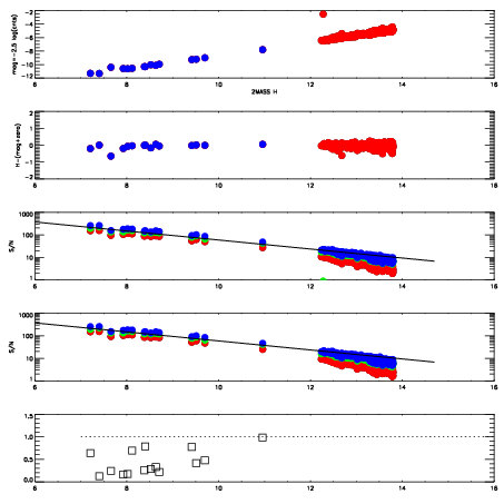
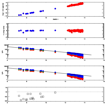
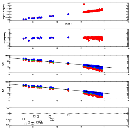
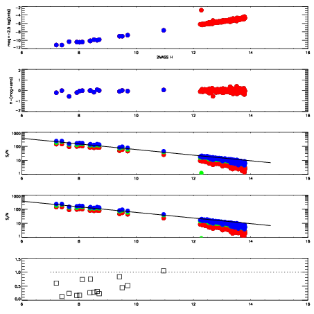
Frame | Nreads | Zeropoints | Mag plots
| Spatial mag deviation
| Spatial sky 16325A emission deviations (filled: sky, open: star)
| Spatial sky continuum emission
| Spatial sky telluric CO2 absorption deviations (filled: H < 10)
|
19090062
| 47
| | Red | Green | Blue
| z | | 18.77
| znorm | | 14.59
| sky | 15.3 | 14.8 | 14.9
| S/N | 16.6 | 25.3 | 29.1
| S/N(c) | 16.0 | 20.4 | 27.3
| SN(E/C) | 0.29
|
|
|
|
|
|
|
19090063
| 47
| | Red | Green | Blue
| z | | 18.55
| znorm | | 14.37
| sky | 15.5 | 15.1 | 15.1
| S/N | 14.3 | 22.4 | 25.3
| S/N(c) | 14.2 | 18.4 | 24.6
| SN(E/C) | 0.31
|
|
|
|
|
|
|
19090064
| 47
| | Red | Green | Blue
| z | | 18.72
| znorm | | 14.54
| sky | 15.2 | 15.1 | 15.1
| S/N | 15.8 | 24.5 | 28.0
| S/N(c) | 15.5 | 20.0 | 27.0
| SN(E/C) | 0.32
|
|
|
|
|
|
|
19090065
| 47
| | Red | Green | Blue
| z | | 18.75
| znorm | | 14.57
| sky | 15.3 | 15.3 | 15.5
| S/N | 16.2 | 24.9 | 28.4
| S/N(c) | 15.6 | 20.2 | 27.2
| SN(E/C) | 0.30
|
|
|
|
|
|
|
19090066
| 47
| | Red | Green | Blue
| z | | 18.70
| znorm | | 14.52
| sky | 15.2 | 15.3 | 15.1
| S/N | 15.4 | 24.0 | 27.3
| S/N(c) | 15.1 | 19.5 | 26.2
| SN(E/C) | 0.33
|
|
|
|
|
|
|
19090067
| 47
| | Red | Green | Blue
| z | | 18.27
| znorm | | 14.09
| sky | 15.7 | 15.4 | 15.4
| S/N | 11.7 | 19.0 | 21.4
| S/N(c) | 12.0 | 15.6 | 21.0
| SN(E/C) | 0.37
|
|
|
|
|
|
|
19090068
| 47
| | Red | Green | Blue
| z | | 18.29
| znorm | | 14.11
| sky | 15.5 | 15.2 | 15.5
| S/N | 12.1 | 19.4 | 21.8
| S/N(c) | 12.1 | 15.8 | 21.2
| SN(E/C) | 0.38
|
|
|
|
|
|
|
19090069
| 47
| | Red | Green | Blue
| z | | 18.55
| znorm | | 14.37
| sky | 15.5 | 15.4 | 15.2
| S/N | 14.0 | 22.1 | 25.0
| S/N(c) | 13.7 | 17.7 | 23.8
| SN(E/C) | 0.36
|
|
|
|
|
|
|
19090070
| 47
| | Red | Green | Blue
| z | | 18.62
| znorm | | 14.44
| sky | 15.7 | 15.5 | 15.3
| S/N | 14.7 | 23.0 | 26.1
| S/N(c) | 14.4 | 18.2 | 24.5
| SN(E/C) | 0.36
|
|
|
|
|
|
|
19090071
| 47
| | Red | Green | Blue
| z | | 18.94
| znorm | | 14.76
| sky | 15.6 | 15.3 | 16.0
| S/N | 17.9 | 27.1 | 30.9
| S/N(c) | 16.9 | 21.3 | 28.6
| SN(E/C) | 0.34
|
|
|
|
|
|
|
19090072
| 47
| | Red | Green | Blue
| z | | 18.95
| znorm | | 14.77
| sky | 15.4 | 15.2 | 15.3
| S/N | 17.7 | 26.9 | 30.5
| S/N(c) | 16.9 | 21.3 | 28.0
| SN(E/C) | 0.31
|
|
|
|
|
|
|
19090073
| 47
| | Red | Green | Blue
| z | | 19.01
| znorm | | 14.83
| sky | 15.7 | 15.4 | 15.4
| S/N | 18.5 | 27.9 | 31.7
| S/N(c) | 17.2 | 21.7 | 28.9
| SN(E/C) | 0.31
|
|
|
|
|
|
|