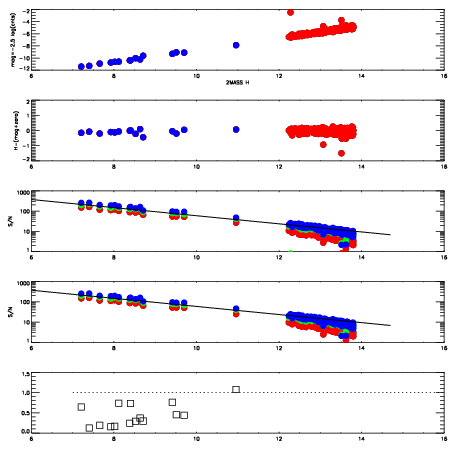
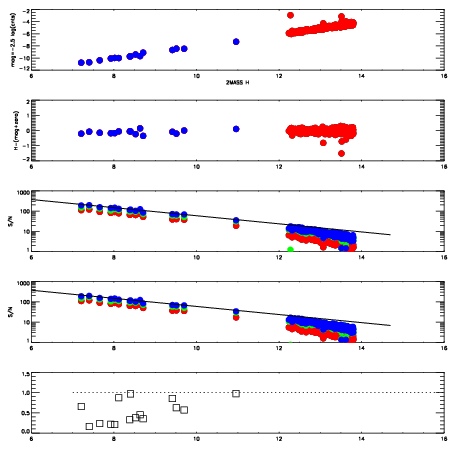
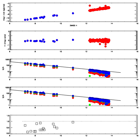
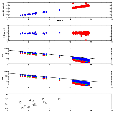
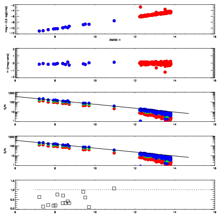
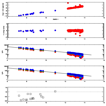
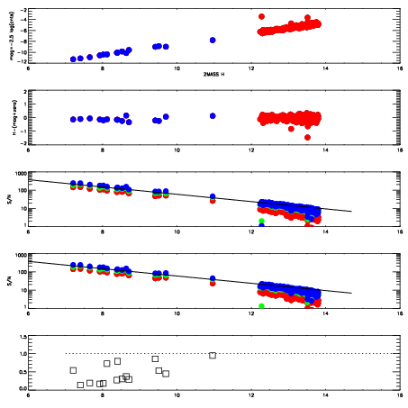
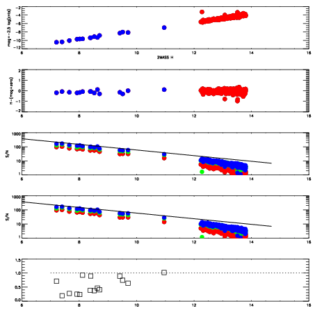
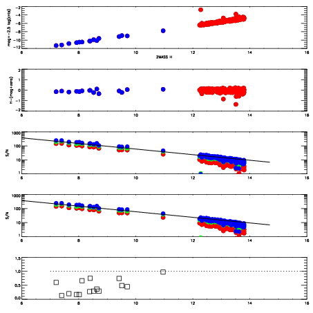
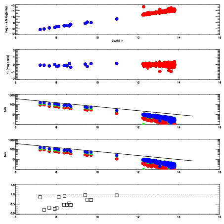
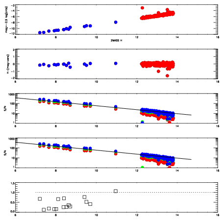
Frame | Nreads | Zeropoints | Mag plots
| Spatial mag deviation
| Spatial sky 16325A emission deviations (filled: sky, open: star)
| Spatial sky continuum emission
| Spatial sky telluric CO2 absorption deviations (filled: H < 10)
|
19450020
| 47
| | Red | Green | Blue
| z | | 18.63
| znorm | | 14.45
| sky | 15.0 | 14.7 | 14.9
| S/N | 14.6 | 22.5 | 25.9
| S/N(c) | 14.2 | 18.0 | 40.2
| SN(E/C) | 0.37
|
|
|
|
|
|
|
19450021
| 47
| | Red | Green | Blue
| z | | 18.37
| znorm | | 14.19
| sky | 15.2 | 15.1 | 15.1
| S/N | 12.2 | 19.7 | 22.6
| S/N(c) | 12.5 | 15.9 | 35.6
| SN(E/C) | 0.44
|
|
|
|
|
|
|
19450022
| 47
| | Red | Green | Blue
| z | | 17.84
| znorm | | 13.66
| sky | 15.3 | 15.2 | 15.2
| S/N | 9.0 | 14.9 | 16.9
| S/N(c) | 10.0 | 13.0 | 29.0
| SN(E/C) | 0.46
|
|
|
|
|
|
|
19450023
| 47
| | Red | Green | Blue
| z | | 17.93
| znorm | | 13.75
| sky | 15.1 | 15.0 | 14.9
| S/N | 9.1 | 15.4 | 17.5
| S/N(c) | 10.3 | 13.2 | 29.5
| SN(E/C) | 0.49
|
|
|
|
|
|
|
19450024
| 47
| | Red | Green | Blue
| z | | 18.17
| znorm | | 13.99
| sky | 15.3 | 15.2 | 15.0
| S/N | 10.8 | 17.6 | 20.0
| S/N(c) | 11.9 | 15.2 | 33.9
| SN(E/C) | 0.45
|
|
|
|
|
|
|
19450025
| 47
| | Red | Green | Blue
| z | | 18.36
| znorm | | 14.18
| sky | 15.2 | 15.2 | 15.2
| S/N | 12.1 | 19.6 | 22.3
| S/N(c) | 13.0 | 16.5 | 36.7
| SN(E/C) | 0.32
|
|
|
|
|
|
|
19450026
| 47
| | Red | Green | Blue
| z | | 18.64
| znorm | | 14.46
| sky | 15.4 | 15.1 | 15.4
| S/N | 14.3 | 22.3 | 25.6
| S/N(c) | 15.2 | 19.4 | 43.1
| SN(E/C) | 0.36
|
|
|
|
|
|
|
19450027
| 47
| | Red | Green | Blue
| z | | 18.77
| znorm | | 14.59
| sky | 14.9 | 15.2 | 15.4
| S/N | 15.3 | 23.5 | 26.9
| S/N(c) | 16.0 | 20.6 | 46.2
| SN(E/C) | 0.37
|
|
|
|
|
|
|
19450028
| 47
| | Red | Green | Blue
| z | | 18.78
| znorm | | 14.60
| sky | 15.4 | 15.6 | 15.2
| S/N | 15.5 | 23.8 | 27.2
| S/N(c) | 16.1 | 20.6 | 46.0
| SN(E/C) | 0.36
|
|
|
|
|
|
|
19450029
| 47
| | Red | Green | Blue
| z | | 18.78
| znorm | | 14.60
| sky | 15.2 | 15.4 | 15.6
| S/N | 15.1 | 23.4 | 26.7
| S/N(c) | 15.8 | 20.3 | 45.6
| SN(E/C) | 0.34
|
|
|
|
|
|
|
19450030
| 47
| | Red | Green | Blue
| z | | 17.57
| znorm | | 13.39
| sky | 15.2 | 15.1 | 15.0
| S/N | 7.1 | 12.9 | 14.2
| S/N(c) | 8.4 | 11.0 | 24.4
| SN(E/C) | 0.53
|
|
|
|
|
|
|
19450031
| 47
| | Red | Green | Blue
| z | | 15.30
| znorm | | 11.12
| sky | 15.3 | 15.2 | 15.2
| S/N | 2.1 | 5.5 | 5.8
| S/N(c) | 0.9 | 2.0 | 3.9
| SN(E/C) | 0.86
|
|
|
|
|
|
|