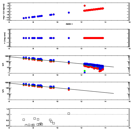
Left plots: red are targets, blue are telluric. Observed mags are calculated from median value of green chip. Zeropoint gives overall throughput: bigger number is more throughput.
First spatial plots: circles are objects, squares are tellurics, crosses are sky fibers. Colors give deviation of observed mag from expected 2MASS mag using the median zeropoint; red is brighter
Second spatial plots: circles are sky fibers. Colors give sky line brightness relative to plate median sky line brightness
FrameNreadsZeropointsMag plots Spatial mag deviation Spatial sky 16325A emission deviations (filled: sky, open: star) Spatial sky continuum emission Spatial sky telluric CO2 absorption deviations (filled: H < 10)
0 0
RedGreenBlue
z17.64
znorm Inf
sky -Inf -Inf -Inf
S/N 27.4 44.5 52.1
S/N(c) 28.8 37.0 82.2
SN(E/C) 0.22

IPAIRNAMESHIFTNEWSHIFTS/N NAMESHIFTNEWSHIFTS/N
0 19590046 0.498880 0.00000 19.0447 19590048 0.00215093 0.496729 19.0024
1 19590049 0.497874 0.00100601 19.0134 19590047 0.00185621 0.497024 18.9952
2 19590045 0.498710 0.000169992 18.9312 19590044 0.00000 0.498880 18.9643