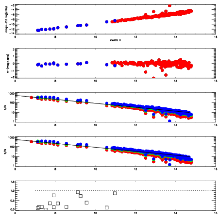
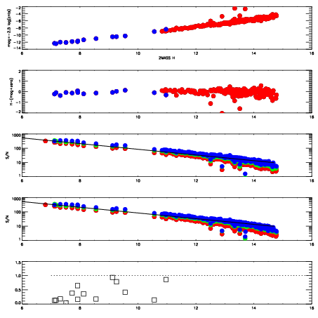
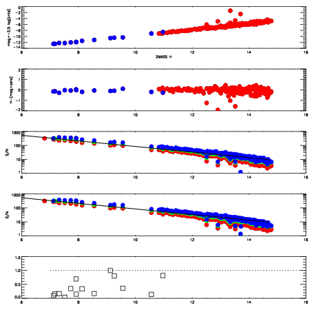
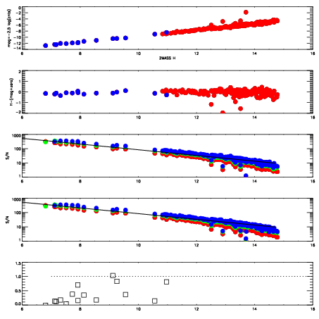
Left plots: red are targets, blue are telluric. Observed mags are calculated from median value of green chip. Zeropoint gives overall throughput: bigger number is more throughput.
First spatial plots: circles are objects, squares are tellurics, crosses are sky fibers. Colors give deviation of observed mag from expected 2MASS mag using the median zeropoint; red is brighter
Second spatial plots: circles are sky fibers. Colors give sky line brightness relative to plate median sky line brightness
FrameNreadsZeropointsMag plots Spatial mag deviation Spatial sky 16325A emission deviations (filled: sky, open: star) Spatial sky continuum emission Spatial sky telluric CO2 absorption deviations (filled: H < 10)
19410046 94
RedGreenBlue
z19.67
znorm14.74
sky 14.7 14.4 14.4
S/N 25.3 36.1 41.2
S/N(c) 24.5 5.5 8.3
SN(E/C) 0.36
19410047 94
RedGreenBlue
z19.70
znorm14.76
sky 14.7 14.5 14.5
S/N 25.0 36.1 41.0
S/N(c) 24.7 5.8 8.3
SN(E/C) 0.17
19410048 94
RedGreenBlue
z19.76
znorm14.82
sky 14.8 14.5 14.5
S/N 25.9 37.6 42.4
S/N(c) 25.6 5.6 8.5
SN(E/C) 0.35
19410049 94
RedGreenBlue
z19.79
znorm14.86
sky 14.7 14.6 14.5
S/N 26.1 38.1 43.1
S/N(c) 25.9 5.6 8.6
SN(E/C) 0.34