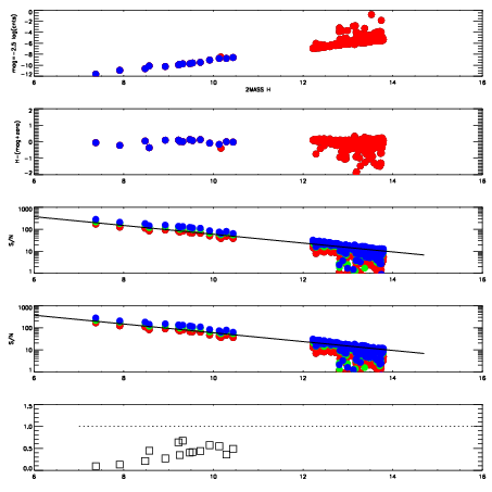
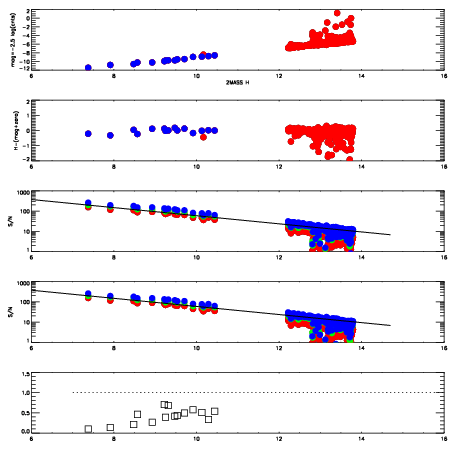
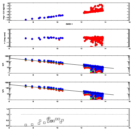
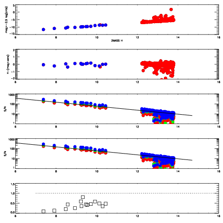
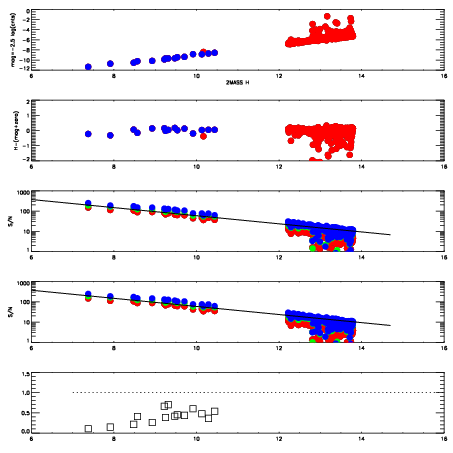
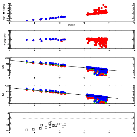
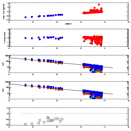
Frame | Nreads | Zeropoints | Mag plots
| Spatial mag deviation
| Spatial sky 16325A emission deviations (filled: sky, open: star)
| Spatial sky continuum emission
| Spatial sky telluric CO2 absorption deviations (filled: H < 10)
|
19730034
| 47
| | Red | Green | Blue
| z | | 19.06
| znorm | | 14.88
| sky | 14.9 | 14.7 | 14.8
| S/N | 21.4 | 30.5 | 35.8
| S/N(c) | 12.9 | 37.4 | 46.7
| SN(E/C) | 0.44
|
|
|
|
|
|
|
19730035
| 47
| | Red | Green | Blue
| z | | 19.08
| znorm | | 14.90
| sky | 15.2 | 14.8 | 15.1
| S/N | 21.5 | 30.5 | 35.7
| S/N(c) | 12.8 | 37.8 | 47.2
| SN(E/C) | 0.40
|
|
|
|
|
|
|
19730036
| 47
| | Red | Green | Blue
| z | | 19.04
| znorm | | 14.86
| sky | 14.9 | 14.9 | 14.8
| S/N | 21.3 | 30.3 | 35.3
| S/N(c) | 12.5 | 37.4 | 46.9
| SN(E/C) | 0.44
|
|
|
|
|
|
|
19730037
| 47
| | Red | Green | Blue
| z | | 19.05
| znorm | | 14.87
| sky | 14.8 | 14.8 | 14.9
| S/N | 21.5 | 30.6 | 35.6
| S/N(c) | 12.6 | 37.4 | 47.3
| SN(E/C) | 0.41
|
|
|
|
|
|
|
19730038
| 47
| | Red | Green | Blue
| z | | 18.97
| znorm | | 14.79
| sky | 15.3 | 15.0 | 15.0
| S/N | 20.8 | 29.8 | 34.5
| S/N(c) | 12.3 | 36.1 | 45.8
| SN(E/C) | 0.44
|
|
|
|
|
|
|
19730039
| 47
| | Red | Green | Blue
| z | | 19.03
| znorm | | 14.85
| sky | 15.3 | 15.2 | 15.0
| S/N | 21.5 | 30.7 | 35.5
| S/N(c) | 12.7 | 37.1 | 47.4
| SN(E/C) | 0.42
|
|
|
|
|
|
|
19730040
| 47
| | Red | Green | Blue
| z | | 19.02
| znorm | | 14.84
| sky | 15.0 | 15.0 | 15.0
| S/N | 21.4 | 30.4 | 35.1
| S/N(c) | 12.7 | 36.2 | 46.3
| SN(E/C) | 0.43
|
|
|
|
|
|
|
19730041
| 47
| | Red | Green | Blue
| z | | 18.94
| znorm | | 14.76
| sky | 15.2 | 15.1 | 15.0
| S/N | 20.7 | 29.7 | 33.9
| S/N(c) | 12.2 | 35.0 | 44.8
| SN(E/C) | 0.41
|
|
|
|
|
|
|