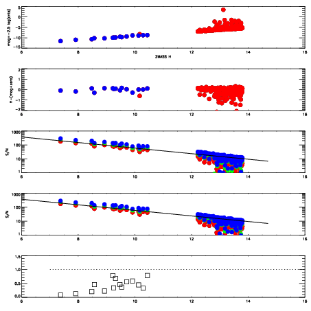
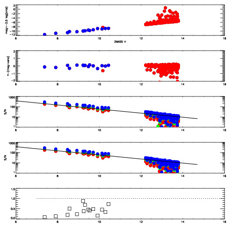
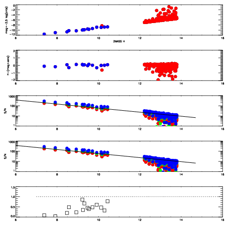
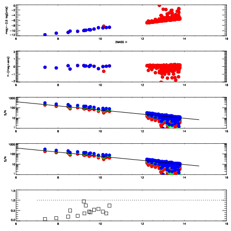
Frame | Nreads | Zeropoints | Mag plots
| Spatial mag deviation
| Spatial sky 16325A emission deviations (filled: sky, open: star)
| Spatial sky continuum emission
| Spatial sky telluric CO2 absorption deviations (filled: H < 10)
|
19900021
| 47
| | Red | Green | Blue
| z | | 19.01
| znorm | | 14.83
| sky | 14.3 | 14.3 | 14.4
| S/N | 21.9 | 31.5 | 36.3
| S/N(c) | 27.7 | 40.8 | 22.6
| SN(E/C) | 0.45
|
|
|
|
|
|
|
19900022
| 47
| | Red | Green | Blue
| z | | 19.08
| znorm | | 14.90
| sky | 14.6 | 14.5 | 14.5
| S/N | 22.2 | 31.8 | 36.4
| S/N(c) | 28.2 | 41.7 | 22.9
| SN(E/C) | 0.45
|
|
|
|
|
|
|
19900023
| 47
| | Red | Green | Blue
| z | | 19.06
| znorm | | 14.88
| sky | 14.6 | 14.5 | 14.5
| S/N | 21.6 | 30.8 | 35.8
| S/N(c) | 28.1 | 41.5 | 22.8
| SN(E/C) | 0.44
|
|
|
|
|
|
|
19900024
| 47
| | Red | Green | Blue
| z | | 19.09
| znorm | | 14.91
| sky | 14.6 | 14.7 | 14.6
| S/N | 21.2 | 30.8 | 36.4
| S/N(c) | 28.1 | 41.9 | 22.9
| SN(E/C) | 0.41
|
|
|
|
|
|
|
19900025
| 47
| | Red | Green | Blue
| z | | 19.07
| znorm | | 14.89
| sky | 14.5 | 14.8 | 14.8
| S/N | 21.1 | 31.0 | 36.7
| S/N(c) | 27.9 | 41.5 | 22.8
| SN(E/C) | 0.45
|
|
|
|
|
|
|
19900026
| 47
| | Red | Green | Blue
| z | | 19.04
| znorm | | 14.86
| sky | 14.5 | 14.8 | 14.8
| S/N | 21.0 | 30.9 | 36.6
| S/N(c) | 27.7 | 41.1 | 22.6
| SN(E/C) | 0.42
|
|
|
|
|
|
|
19900027
| 47
| | Red | Green | Blue
| z | | 19.06
| znorm | | 14.88
| sky | 14.7 | 14.9 | 14.9
| S/N | 21.3 | 31.2 | 37.0
| S/N(c) | 27.9 | 41.6 | 22.7
| SN(E/C) | 0.44
|
|
|
|
|
|
|
19900028
| 47
| | Red | Green | Blue
| z | | 19.04
| znorm | | 14.86
| sky | 14.6 | 14.8 | 14.9
| S/N | 21.2 | 30.9 | 36.7
| S/N(c) | 27.7 | 41.4 | 22.5
| SN(E/C) | 0.42
|
|
|
|
|
|
|