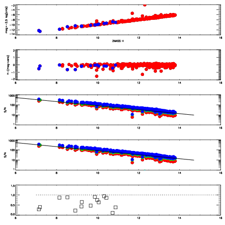
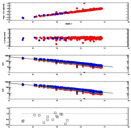
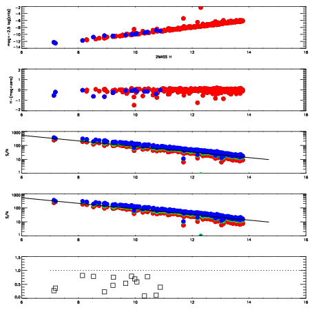
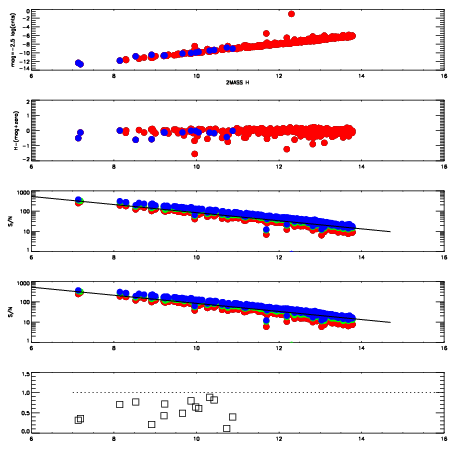
Left plots: red are targets, blue are telluric. Observed mags are calculated from median value of green chip. Zeropoint gives overall throughput: bigger number is more throughput.
First spatial plots: circles are objects, squares are tellurics, crosses are sky fibers. Colors give deviation of observed mag from expected 2MASS mag using the median zeropoint; red is brighter
Second spatial plots: circles are sky fibers. Colors give sky line brightness relative to plate median sky line brightness
FrameNreadsZeropointsMag plots Spatial mag deviation Spatial sky 16325A emission deviations (filled: sky, open: star) Spatial sky continuum emission Spatial sky telluric CO2 absorption deviations (filled: H < 10)
19070016 94
RedGreenBlue
z19.88
znorm14.94
sky 14.8 14.4 14.4
S/N 27.8 39.6 44.4
S/N(c) 16.2 50.5 38.7
SN(E/C) 0.49
19070017 94
RedGreenBlue
z19.90
znorm14.97
sky 14.7 14.6 14.5
S/N 27.6 39.5 45.1
S/N(c) 16.3 51.0 38.4
SN(E/C) 0.58
19070018 94
RedGreenBlue
z19.81
znorm14.88
sky 14.8 14.7 14.5
S/N 26.5 37.5 42.9
S/N(c) 15.5 49.0 36.8
SN(E/C) 0.70
19070019 94
RedGreenBlue
z19.94
znorm15.01
sky 14.9 14.7 14.6
S/N 28.0 39.7 46.8
S/N(c) 16.6 52.1 38.5
SN(E/C) 0.61
19070020 94
RedGreenBlue
z19.94
znorm15.00
sky 14.8 14.7 14.6
S/N 27.7 40.0 46.5
S/N(c) 16.7 51.9 38.3
SN(E/C) 0.64
19070021 94
RedGreenBlue
z19.92
znorm14.98
sky 14.9 14.9 14.6
S/N 27.1 38.9 45.5
S/N(c) 16.6 51.2 39.2
SN(E/C) 0.53