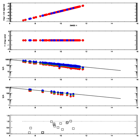
Left plots: red are targets, blue are telluric. Observed mags are calculated from median value of green chip. Zeropoint gives overall throughput: bigger number is more throughput.
First spatial plots: circles are objects, squares are tellurics, crosses are sky fibers. Colors give deviation of observed mag from expected 2MASS mag using the median zeropoint; red is brighter
Second spatial plots: circles are sky fibers. Colors give sky line brightness relative to plate median sky line brightness
FrameNreadsZeropointsMag plots Spatial mag deviation Spatial sky 16325A emission deviations (filled: sky, open: star) Spatial sky continuum emission Spatial sky telluric CO2 absorption deviations (filled: H < 10)
0 0
RedGreenBlue
z17.64
znorm Inf
sky -Inf -Inf -NaN
S/N 19.8 33.1 37.0
S/N(c) 0.0 0.0 0.0
SN(E/C) 0.62

IPAIRNAMESHIFTNEWSHIFTS/N NAMESHIFTNEWSHIFTS/N
0 19010058 0.00000 0.00000 18.1698 19010059 -0.503557 0.503557 18.0888
1 19010062 -0.00100997 0.00100997 18.6360 19010063 -0.503577 0.503577 18.6448
2 19010066 -0.00107968 0.00107968 18.3444 19010067 -0.503439 0.503439 18.3416
3 19010065 -0.00238711 0.00238711 18.2942 19010064 -0.503491 0.503491 18.2744
4 19010061 -0.000956566 0.000956566 18.1003 19010060 -0.504310 0.504310 18.0522