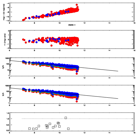
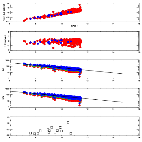
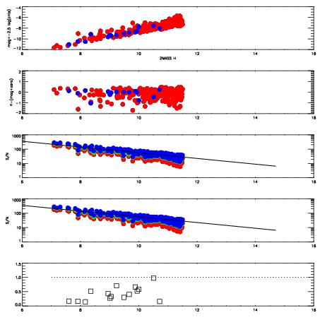
Frame | Nreads | Zeropoints | Mag plots
| Spatial mag deviation
| Spatial sky 16325A emission deviations (filled: sky, open: star)
| Spatial sky continuum emission
| Spatial sky telluric CO2 absorption deviations (filled: H < 10)
|
19750030
| 42
| | Red | Green | Blue
| z | | 17.73
| znorm | | 13.67
| sky | 14.5 | 14.3 | 14.4
| S/N | 7.1 | 12.7 | 14.8
| S/N(c) | 8.8 | 13.0 | 5.8
| SN(E/C) | 0.53
|
|
|
|
|
|
|
19750031
| 42
| | Red | Green | Blue
| z | | 17.04
| znorm | | 12.99
| sky | 14.7 | 14.5 | 14.6
| S/N | 4.2 | 8.4 | 9.3
| S/N(c) | 5.3 | 8.7 | 3.9
| SN(E/C) | 0.62
|
|
|
|
|
|
|
19750032
| 42
| | Red | Green | Blue
| z | | 18.59
| znorm | | 14.53
| sky | 14.5 | 14.5 | 14.5
| S/N | 12.4 | 20.7 | 23.2
| S/N(c) | 14.9 | 19.6 | 8.9
| SN(E/C) | 0.40
|
|
|
|
|
|
|
19750033
| 42
| | Red | Green | Blue
| z | | 18.58
| znorm | | 14.52
| sky | 14.6 | 14.5 | 14.6
| S/N | 12.4 | 20.7 | 23.1
| S/N(c) | 14.5 | 19.3 | 8.7
| SN(E/C) | 0.39
|
|
|
|
|
|
|
19750034
| 42
| | Red | Green | Blue
| z | | 18.49
| znorm | | 14.43
| sky | 14.7 | 14.5 | 14.6
| S/N | 11.9 | 20.2 | 22.0
| S/N(c) | 13.4 | 18.2 | 8.4
| SN(E/C) | 0.40
|
|
|
|
|
|
|
19750035
| 42
| | Red | Green | Blue
| z | | 18.52
| znorm | | 14.46
| sky | 14.4 | 14.5 | 14.5
| S/N | 11.9 | 20.5 | 22.1
| S/N(c) | 13.6 | 18.5 | 8.4
| SN(E/C) | 0.40
|
|
|
|
|
|
|
19750036
| 42
| | Red | Green | Blue
| z | | 17.83
| znorm | | 13.77
| sky | 14.7 | 14.7 | 14.7
| S/N | 7.2 | 13.5 | 15.7
| S/N(c) | 9.3 | 13.4 | 6.2
| SN(E/C) | 0.43
|
|
|
|
|
|
|
19750037
| 42
| | Red | Green | Blue
| z | | 17.76
| znorm | | 13.70
| sky | 14.7 | 14.5 | 14.6
| S/N | 7.2 | 13.2 | 15.0
| S/N(c) | 8.8 | 13.0 | 6.0
| SN(E/C) | 0.45
|
|
|
|
|
|
|