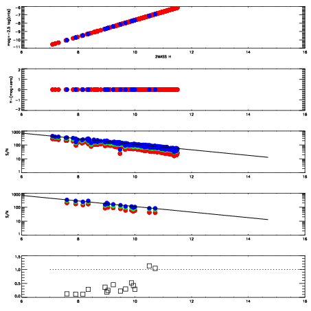
Left plots: red are targets, blue are telluric. Observed mags are calculated from median value of green chip. Zeropoint gives overall throughput: bigger number is more throughput.
First spatial plots: circles are objects, squares are tellurics, crosses are sky fibers. Colors give deviation of observed mag from expected 2MASS mag using the median zeropoint; red is brighter
Second spatial plots: circles are sky fibers. Colors give sky line brightness relative to plate median sky line brightness
FrameNreadsZeropointsMag plots Spatial mag deviation Spatial sky 16325A emission deviations (filled: sky, open: star) Spatial sky continuum emission Spatial sky telluric CO2 absorption deviations (filled: H < 10)
0 0
RedGreenBlue
z17.64
znorm Inf
sky -Inf -Inf -Inf
S/N 17.6 31.2 36.6
S/N(c) 0.0 0.0 0.0
SN(E/C) 0.29

IPAIRNAMESHIFTNEWSHIFTS/N NAMESHIFTNEWSHIFTS/N
0 19750035 0.496067 0.00000 18.4709 19750034 0.000715284 0.495352 18.4342
1 19750032 0.492059 0.00400800 18.5378 19750033 -0.000401015 0.496468 18.5070
2 19750036 0.495959 0.000107974 17.7463 19750030 0.00000 0.496067 17.6917
3 19750031 0.492034 0.00403300 16.9860 19750037 0.000488874 0.495578 17.6799