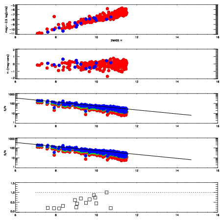
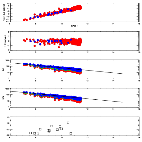
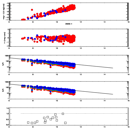
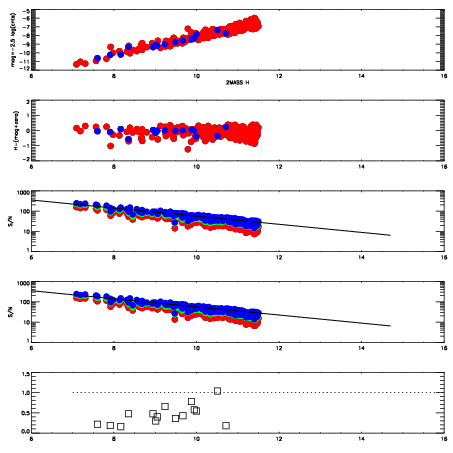
Left plots: red are targets, blue are telluric. Observed mags are calculated from median value of green chip. Zeropoint gives overall throughput: bigger number is more throughput.
First spatial plots: circles are objects, squares are tellurics, crosses are sky fibers. Colors give deviation of observed mag from expected 2MASS mag using the median zeropoint; red is brighter
Second spatial plots: circles are sky fibers. Colors give sky line brightness relative to plate median sky line brightness
FrameNreadsZeropointsMag plots Spatial mag deviation Spatial sky 16325A emission deviations (filled: sky, open: star) Spatial sky continuum emission Spatial sky telluric CO2 absorption deviations (filled: H < 10)
19820011 42
RedGreenBlue
z18.09
znorm14.03
sky 14.6 14.4 14.3
S/N 9.4 16.5 18.2
S/N(c) 11.5 15.4 7.2
SN(E/C) 0.41
19820012 42
RedGreenBlue
z18.04
znorm13.98
sky 14.5 14.6 14.4
S/N 8.8 15.5 17.8
S/N(c) 11.0 15.3 7.0
SN(E/C) 0.45
19820013 42
RedGreenBlue
z18.21
znorm14.15
sky 14.5 14.5 14.5
S/N 9.5 16.8 18.8
S/N(c) 11.5 16.0 7.2
SN(E/C) 0.43
19820014 42
RedGreenBlue
z18.25
znorm14.20
sky 14.6 14.4 14.4
S/N 9.9 17.0 18.8
S/N(c) 12.1 16.5 7.5
SN(E/C) 0.43
19820015 42
RedGreenBlue
z18.37
znorm14.31
sky 14.7 14.7 14.4
S/N 11.0 19.1 21.0
S/N(c) 13.4 18.0 8.3
SN(E/C) 0.39
19820016 42
RedGreenBlue
z18.41
znorm14.35
sky 14.5 14.6 14.2
S/N 11.2 19.4 21.3
S/N(c) 13.8 18.4 8.4
SN(E/C) 0.40