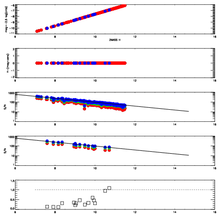
Left plots: red are targets, blue are telluric. Observed mags are calculated from median value of green chip. Zeropoint gives overall throughput: bigger number is more throughput.
First spatial plots: circles are objects, squares are tellurics, crosses are sky fibers. Colors give deviation of observed mag from expected 2MASS mag using the median zeropoint; red is brighter
Second spatial plots: circles are sky fibers. Colors give sky line brightness relative to plate median sky line brightness
FrameNreadsZeropointsMag plots Spatial mag deviation Spatial sky 16325A emission deviations (filled: sky, open: star) Spatial sky continuum emission Spatial sky telluric CO2 absorption deviations (filled: H < 10)
0 0
RedGreenBlue
z17.64
znorm Inf
sky -Inf -Inf -Inf
S/N 16.1 28.3 33.0
S/N(c) 0.0 0.0 0.0
SN(E/C) 0.32

IPAIRNAMESHIFTNEWSHIFTS/N NAMESHIFTNEWSHIFTS/N
0 19820013 0.497449 0.00000 18.1548 19820014 0.00313175 0.494317 18.1957
1 19820016 0.495414 0.00203502 18.3807 19820015 0.00301362 0.494435 18.3398
2 19820012 0.496262 0.00118700 17.9692 19820011 0.00000 0.497449 18.0434