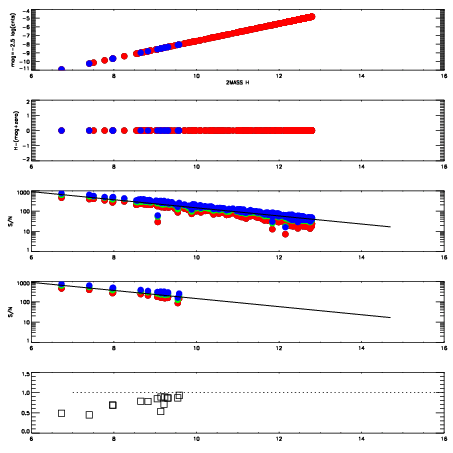
Left plots: red are targets, blue are telluric. Observed mags are calculated from median value of green chip. Zeropoint gives overall throughput: bigger number is more throughput.
First spatial plots: circles are objects, squares are tellurics, crosses are sky fibers. Colors give deviation of observed mag from expected 2MASS mag using the median zeropoint; red is brighter
Second spatial plots: circles are sky fibers. Colors give sky line brightness relative to plate median sky line brightness
FrameNreadsZeropointsMag plots Spatial mag deviation Spatial sky 16325A emission deviations (filled: sky, open: star) Spatial sky continuum emission Spatial sky telluric CO2 absorption deviations (filled: H < 10)
0 0
RedGreenBlue
z17.64
znorm Inf
sky -Inf -Inf -NaN
S/N 32.8 55.2 62.9
S/N(c) 0.0 0.0 0.0
SN(E/C) 0.79

IPAIRNAMESHIFTNEWSHIFTS/N NAMESHIFTNEWSHIFTS/N
0 19700061 0.495867 0.00000 19.0682 19700058 -0.00281360 0.498681 19.0392
1 19700057 0.489251 0.00661603 19.0608 19700059 -0.00330302 0.499170 19.0341
2 19700060 0.494126 0.00174102 19.0606 19700062 -7.51994e-05 0.495942 19.0329
3 19700056 0.487760 0.00810701 18.9964 19700054 -0.00656743 0.502434 18.9016
4 19700053 0.489358 0.00650901 18.9480 19700055 -0.00580425 0.501671 18.8677
5 19700052 0.488153 0.00771400 18.8505 19700051 0.00000 0.495867 18.7921