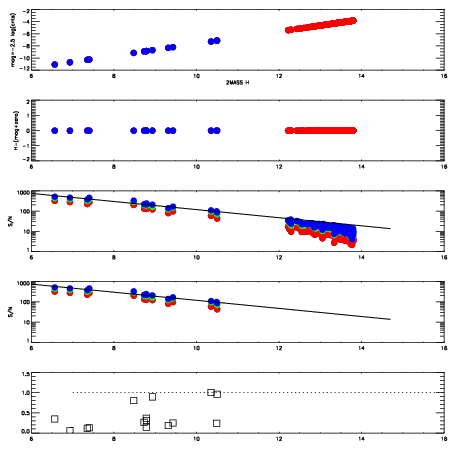
Left plots: red are targets, blue are telluric. Observed mags are calculated from median value of green chip. Zeropoint gives overall throughput: bigger number is more throughput.
First spatial plots: circles are objects, squares are tellurics, crosses are sky fibers. Colors give deviation of observed mag from expected 2MASS mag using the median zeropoint; red is brighter
Second spatial plots: circles are sky fibers. Colors give sky line brightness relative to plate median sky line brightness
FrameNreadsZeropointsMag plots Spatial mag deviation Spatial sky 16325A emission deviations (filled: sky, open: star) Spatial sky continuum emission Spatial sky telluric CO2 absorption deviations (filled: H < 10)
0 0
RedGreenBlue
z17.65
znorm Inf
sky -Inf -Inf -NaN
S/N 24.0 38.7 45.0
S/N(c) 58.6 16.5 23.3
SN(E/C) 0.26

IPAIRNAMESHIFTNEWSHIFTS/N NAMESHIFTNEWSHIFTS/N
0 19620013 0.497669 0.00000 18.4114 19620018 0.00180532 0.495864 18.2277
1 19620017 0.496190 0.00147900 18.5149 19620014 -0.00104762 0.498717 18.5818
2 19620016 0.497278 0.000391006 18.4288 19620015 -0.00157478 0.499244 18.5206
3 19620012 0.497243 0.000426024 18.1585 19620011 0.00000 0.497669 18.1623