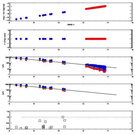
Left plots: red are targets, blue are telluric. Observed mags are calculated from median value of green chip. Zeropoint gives overall throughput: bigger number is more throughput.
First spatial plots: circles are objects, squares are tellurics, crosses are sky fibers. Colors give deviation of observed mag from expected 2MASS mag using the median zeropoint; red is brighter
Second spatial plots: circles are sky fibers. Colors give sky line brightness relative to plate median sky line brightness
FrameNreadsZeropointsMag plots Spatial mag deviation Spatial sky 16325A emission deviations (filled: sky, open: star) Spatial sky continuum emission Spatial sky telluric CO2 absorption deviations (filled: H < 10)
0 0
RedGreenBlue
z17.64
znorm Inf
sky -Inf -NaN -NaN
S/N 34.0 52.5 65.6
S/N(c) 82.9 18.2 26.9
SN(E/C) 0.17

IPAIRNAMESHIFTNEWSHIFTS/N NAMESHIFTNEWSHIFTS/N
0 19700031 0.494030 0.00000 19.0031 19700026 0.00193028 0.492100 19.0365
1 19700028 0.492731 0.00129899 18.9983 19700025 0.00142174 0.492608 19.0117
2 19700027 0.491272 0.00275800 18.9955 19700029 0.00623066 0.487799 19.0102
3 19700024 0.489421 0.00460899 18.9741 19700030 0.00639699 0.487633 19.0082
4 19700023 0.489407 0.00462300 18.9182 19700022 0.00000 0.494030 18.8714