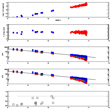
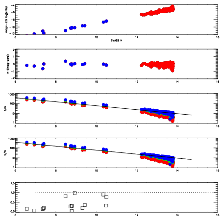
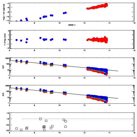
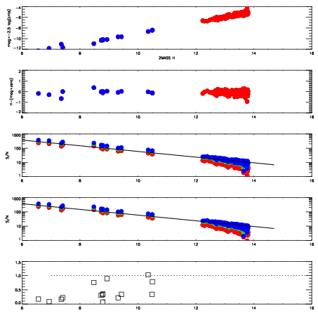
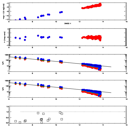
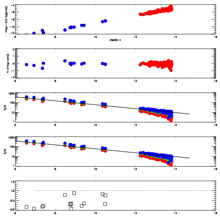
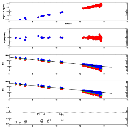
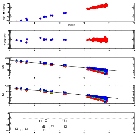
Frame | Nreads | Zeropoints | Mag plots
| Spatial mag deviation
| Spatial sky 16325A emission deviations (filled: sky, open: star)
| Spatial sky continuum emission
| Spatial sky telluric CO2 absorption deviations (filled: H < 10)
|
19910011
| 47
| | Red | Green | Blue
| z | | 18.92
| znorm | | 14.74
| sky | 14.3 | 14.3 | 14.1
| S/N | 17.5 | 26.2 | 30.4
| S/N(c) | 7.1 | 8.6 | 28.2
| SN(E/C) | 0.32
|
|
|
|
|
|
|
19910012
| 47
| | Red | Green | Blue
| z | | 18.85
| znorm | | 14.67
| sky | 14.4 | 14.4 | 14.6
| S/N | 16.8 | 25.3 | 29.4
| S/N(c) | 6.8 | 8.3 | 27.2
| SN(E/C) | 0.33
|
|
|
|
|
|
|
19910013
| 47
| | Red | Green | Blue
| z | | 18.89
| znorm | | 14.71
| sky | 14.5 | 14.5 | 14.4
| S/N | 16.6 | 25.1 | 29.0
| S/N(c) | 7.0 | 8.5 | 27.9
| SN(E/C) | 0.35
|
|
|
|
|
|
|
19910014
| 47
| | Red | Green | Blue
| z | | 18.93
| znorm | | 14.75
| sky | 14.3 | 14.4 | 14.5
| S/N | 16.9 | 25.5 | 29.7
| S/N(c) | 7.0 | 8.5 | 27.8
| SN(E/C) | 0.34
|
|
|
|
|
|
|
19910015
| 47
| | Red | Green | Blue
| z | | 19.02
| znorm | | 14.84
| sky | 14.5 | 14.6 | 14.4
| S/N | 17.7 | 26.2 | 30.5
| S/N(c) | 7.3 | 8.9 | 29.1
| SN(E/C) | 0.32
|
|
|
|
|
|
|
19910016
| 47
| | Red | Green | Blue
| z | | 19.05
| znorm | | 14.87
| sky | 14.5 | 14.4 | 14.4
| S/N | 17.7 | 26.3 | 30.6
| S/N(c) | 7.5 | 9.1 | 29.8
| SN(E/C) | 0.33
|
|
|
|
|
|
|
19910017
| 47
| | Red | Green | Blue
| z | | 19.07
| znorm | | 14.89
| sky | 14.6 | 14.5 | 14.5
| S/N | 17.7 | 26.3 | 30.7
| S/N(c) | 7.5 | 9.2 | 29.9
| SN(E/C) | 0.31
|
|
|
|
|
|
|
19910018
| 47
| | Red | Green | Blue
| z | | 19.05
| znorm | | 14.87
| sky | 14.5 | 14.5 | 14.5
| S/N | 17.7 | 26.2 | 30.1
| S/N(c) | 7.6 | 9.2 | 30.1
| SN(E/C) | 0.31
|
|
|
|
|
|
|