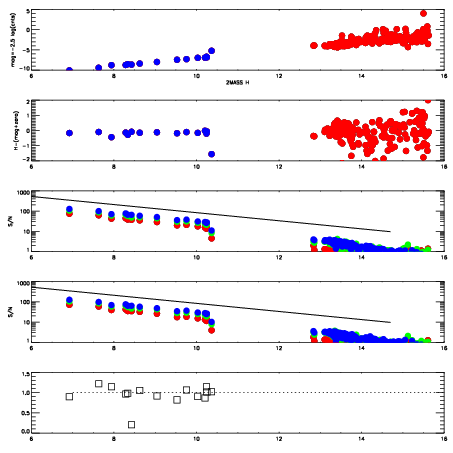
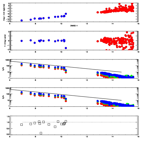
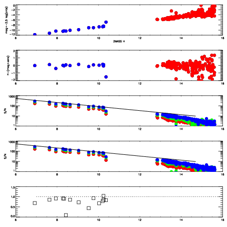
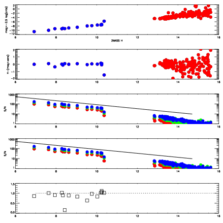
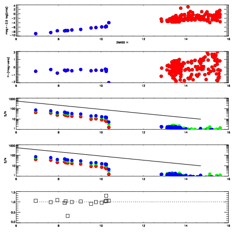
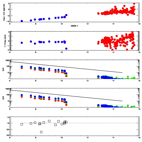
Left plots: red are targets, blue are telluric. Observed mags are calculated from median value of green chip. Zeropoint gives overall throughput: bigger number is more throughput.
First spatial plots: circles are objects, squares are tellurics, crosses are sky fibers. Colors give deviation of observed mag from expected 2MASS mag using the median zeropoint; red is brighter
Second spatial plots: circles are sky fibers. Colors give sky line brightness relative to plate median sky line brightness
FrameNreadsZeropointsMag plots Spatial mag deviation Spatial sky 16325A emission deviations (filled: sky, open: star) Spatial sky continuum emission Spatial sky telluric CO2 absorption deviations (filled: H < 10)
19750046 94
RedGreenBlue
z18.73
znorm13.79
sky 14.7 14.4 14.7
S/N 17.9 24.5 29.3
S/N(c) 20.4 13.8 7.8
SN(E/C) 0.85
19750047 94
RedGreenBlue
z17.95
znorm13.02
sky 14.6 14.5 14.8
S/N 11.6 16.3 19.5
S/N(c) 13.0 9.1 5.2
SN(E/C) 0.89
19750048 94
RedGreenBlue
z17.54
znorm12.61
sky 14.7 14.5 14.7
S/N 9.4 13.4 16.0
S/N(c) 10.5 7.5 4.3
SN(E/C) 0.91
19750049 94
RedGreenBlue
z17.13
znorm12.20
sky 14.6 14.6 15.0
S/N 6.5 9.9 11.9
S/N(c) 7.4 5.6 3.2
SN(E/C) 0.98
19750050 94
RedGreenBlue
z16.33
znorm11.40
sky 14.6 14.7 15.0
S/N 3.1 5.2 6.3
S/N(c) 3.6 2.9 1.7
SN(E/C) 1.02
19750051 94
RedGreenBlue
z16.52
znorm11.59
sky 14.6 14.7 15.0
S/N 4.0 6.4 8.0
S/N(c) 4.6 3.7 2.2
SN(E/C) 0.97