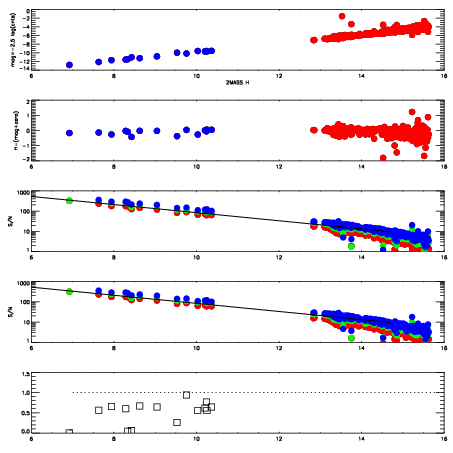
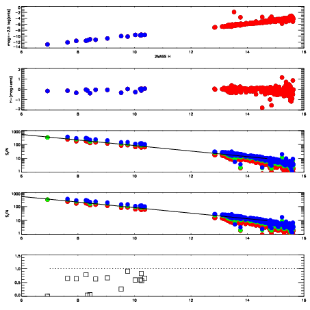
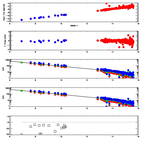
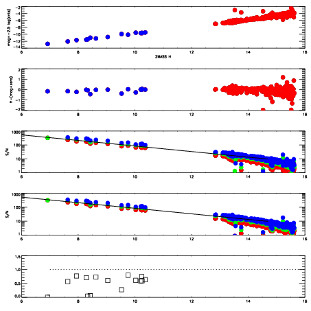
Left plots: red are targets, blue are telluric. Observed mags are calculated from median value of green chip. Zeropoint gives overall throughput: bigger number is more throughput.
First spatial plots: circles are objects, squares are tellurics, crosses are sky fibers. Colors give deviation of observed mag from expected 2MASS mag using the median zeropoint; red is brighter
Second spatial plots: circles are sky fibers. Colors give sky line brightness relative to plate median sky line brightness
FrameNreadsZeropointsMag plots Spatial mag deviation Spatial sky 16325A emission deviations (filled: sky, open: star) Spatial sky continuum emission Spatial sky telluric CO2 absorption deviations (filled: H < 10)
19900032 94
RedGreenBlue
z19.84
znorm14.91
sky 14.7 14.6 14.8
S/N 30.3 42.6 49.7
S/N(c) 22.4 13.5 62.3
SN(E/C) 0.60
19900033 94
RedGreenBlue
z19.87
znorm14.94
sky 14.8 14.7 14.9
S/N 30.7 43.3 50.4
S/N(c) 22.5 13.7 62.8
SN(E/C) 0.60
19900034 94
RedGreenBlue
z19.81
znorm14.88
sky 14.7 14.7 14.9
S/N 30.1 42.3 49.1
S/N(c) 21.9 13.8 61.2
SN(E/C) 0.63
19900035 94
RedGreenBlue
z19.86
znorm14.93
sky 14.8 14.8 14.8
S/N 31.0 43.6 50.5
S/N(c) 22.1 13.9 62.1
SN(E/C) 0.62