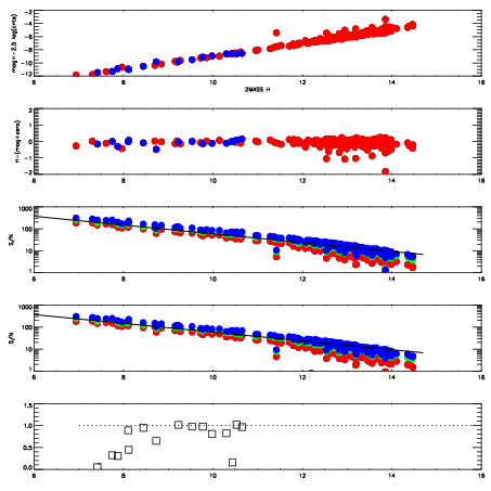
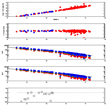
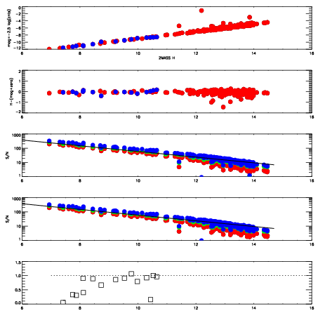
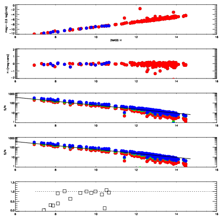
Left plots: red are targets, blue are telluric. Observed mags are calculated from median value of green chip. Zeropoint gives overall throughput: bigger number is more throughput.
First spatial plots: circles are objects, squares are tellurics, crosses are sky fibers. Colors give deviation of observed mag from expected 2MASS mag using the median zeropoint; red is brighter
Second spatial plots: circles are sky fibers. Colors give sky line brightness relative to plate median sky line brightness
FrameNreadsZeropointsMag plots Spatial mag deviation Spatial sky 16325A emission deviations (filled: sky, open: star) Spatial sky continuum emission Spatial sky telluric CO2 absorption deviations (filled: H < 10)
19410060 47
RedGreenBlue
z19.04
znorm14.86
sky 14.6 14.1 14.1
S/N 14.6 23.5 27.1
S/N(c) 3.5 7.4 33.6
SN(E/C) 0.82
19410061 47
RedGreenBlue
z19.05
znorm14.87
sky 14.6 14.3 14.3
S/N 14.2 23.9 26.7
S/N(c) 3.6 7.5 33.8
SN(E/C) 0.85
19410062 47
RedGreenBlue
z19.05
znorm14.87
sky 14.4 14.2 14.2
S/N 13.8 23.7 26.4
S/N(c) 3.5 7.5 34.1
SN(E/C) 0.87
19410063 47
RedGreenBlue
z19.07
znorm14.89
sky 14.5 14.4 14.3
S/N 14.5 24.2 26.6
S/N(c) 3.6 7.7 34.4
SN(E/C) 0.91
19410064 47
RedGreenBlue
z19.09
znorm14.91
sky 14.4 14.4 14.3
S/N 14.4 24.2 26.9
S/N(c) 3.6 7.7 34.4
SN(E/C) 0.85
19410065 47
RedGreenBlue
z19.05
znorm14.87
sky 14.4 14.3 14.4
S/N 14.2 23.8 26.5
S/N(c) 3.5 7.7 34.0
SN(E/C) 0.86