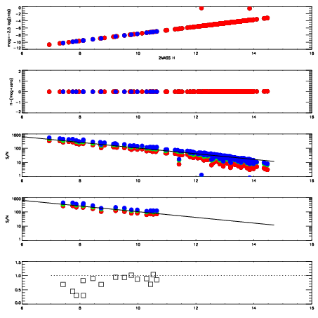
Left plots: red are targets, blue are telluric. Observed mags are calculated from median value of green chip. Zeropoint gives overall throughput: bigger number is more throughput.
First spatial plots: circles are objects, squares are tellurics, crosses are sky fibers. Colors give deviation of observed mag from expected 2MASS mag using the median zeropoint; red is brighter
Second spatial plots: circles are sky fibers. Colors give sky line brightness relative to plate median sky line brightness
FrameNreadsZeropointsMag plots Spatial mag deviation Spatial sky 16325A emission deviations (filled: sky, open: star) Spatial sky continuum emission Spatial sky telluric CO2 absorption deviations (filled: H < 10)
0 0
RedGreenBlue
z17.64
znorm Inf
sky -Inf -Inf -Inf
S/N 21.2 38.4 42.6
S/N(c) 0.0 0.0 0.0
SN(E/C) 0.85

IPAIRNAMESHIFTNEWSHIFTS/N NAMESHIFTNEWSHIFTS/N
0 19410064 0.000121794 0.00000 19.0715 19410061 -0.483520 0.483642 19.0409
1 19410063 -0.000212130 0.000333924 19.0649 19410062 -0.483755 0.483877 19.0382
2 19410060 0.00000 0.000121794 19.0340 19410065 -0.485572 0.485694 19.0289