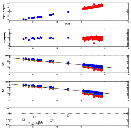
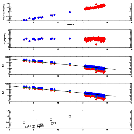
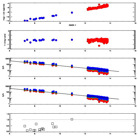
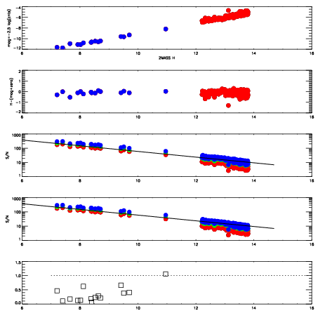
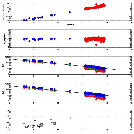
Frame | Nreads | Zeropoints | Mag plots
| Spatial mag deviation
| Spatial sky 16325A emission deviations (filled: sky, open: star)
| Spatial sky continuum emission
| Spatial sky telluric CO2 absorption deviations (filled: H < 10)
|
19710037
| 47
| | Red | Green | Blue
| z | | 19.09
| znorm | | 14.91
| sky | 14.5 | 14.4 | 14.8
| S/N | 19.7 | 29.5 | 34.5
| S/N(c) | 18.7 | 27.1 | 0.7
| SN(E/C) | 0.24
|
|
|
|
|
|
|
19710038
| 47
| | Red | Green | Blue
| z | | 19.11
| znorm | | 14.93
| sky | 14.9 | 14.7 | 14.7
| S/N | 19.4 | 29.5 | 34.4
| S/N(c) | 18.1 | 26.9 | 0.6
| SN(E/C) | 0.23
|
|
|
|
|
|
|
19710039
| 47
| | Red | Green | Blue
| z | | 19.13
| znorm | | 14.95
| sky | 14.8 | 14.7 | 14.9
| S/N | 19.6 | 29.9 | 34.8
| S/N(c) | 18.5 | 27.3 | 0.7
| SN(E/C) | 0.23
|
|
|
|
|
|
|
19710040
| 47
| | Red | Green | Blue
| z | | 19.15
| znorm | | 14.97
| sky | 14.6 | 14.7 | 14.9
| S/N | 19.8 | 30.1 | 35.1
| S/N(c) | 18.6 | 27.3 | 0.7
| SN(E/C) | 0.23
|
|
|
|
|
|
|
19710041
| 47
| | Red | Green | Blue
| z | | 19.15
| znorm | | 14.97
| sky | 14.8 | 14.8 | 15.0
| S/N | 19.7 | 29.9 | 34.9
| S/N(c) | 18.2 | 27.1 | 0.7
| SN(E/C) | 0.23
|
|
|
|
|
|
|
19710042
| 47
| | Red | Green | Blue
| z | | 19.13
| znorm | | 14.95
| sky | 14.7 | 14.8 | 14.7
| S/N | 19.4 | 29.7 | 34.6
| S/N(c) | 17.9 | 26.7 | 0.6
| SN(E/C) | 0.22
|
|
|
|
|
|
|
19710043
| 47
| | Red | Green | Blue
| z | | 19.13
| znorm | | 14.95
| sky | 14.7 | 14.8 | 14.8
| S/N | 19.4 | 29.4 | 34.4
| S/N(c) | 17.7 | 26.5 | 0.6
| SN(E/C) | 0.22
|
|
|
|
|
|
|
19710044
| 47
| | Red | Green | Blue
| z | | 19.11
| znorm | | 14.93
| sky | 14.8 | 14.8 | 14.8
| S/N | 19.2 | 29.5 | 34.4
| S/N(c) | 17.5 | 26.2 | 0.6
| SN(E/C) | 0.23
|
|
|
|
|
|
|