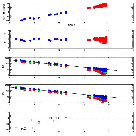
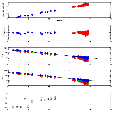
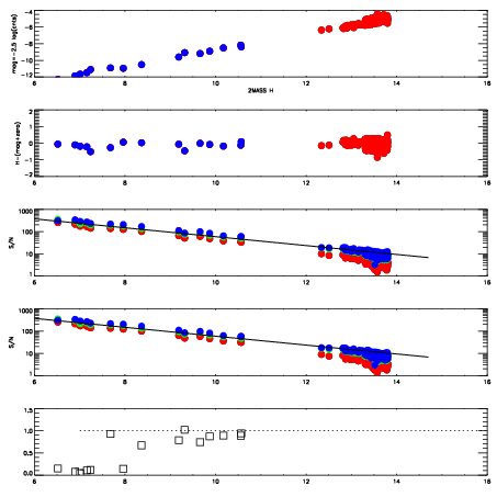
Frame | Nreads | Zeropoints | Mag plots
| Spatial mag deviation
| Spatial sky 16325A emission deviations (filled: sky, open: star)
| Spatial sky continuum emission
| Spatial sky telluric CO2 absorption deviations (filled: H < 10)
|
19410024
| 47
| | Red | Green | Blue
| z | | 18.84
| znorm | | 14.66
| sky | 15.0 | 14.6 | 14.8
| S/N | 15.9 | 23.4 | 28.6
| S/N(c) | 6.2 | 0.3 | 10.4
| SN(E/C) | 0.76
|
|
|
|
|
|
|
19410025
| 47
| | Red | Green | Blue
| z | | 18.77
| znorm | | 14.59
| sky | 15.0 | 14.6 | 14.7
| S/N | 15.4 | 22.7 | 27.7
| S/N(c) | 6.0 | 0.3 | 10.1
| SN(E/C) | 0.75
|
|
|
|
|
|
|
19410026
| 47
| | Red | Green | Blue
| z | | 18.85
| znorm | | 14.67
| sky | 14.9 | 15.0 | 15.0
| S/N | 16.0 | 23.8 | 28.7
| S/N(c) | 6.4 | 0.3 | 10.7
| SN(E/C) | 0.75
|
|
|
|
|
|
|
19410027
| 47
| | Red | Green | Blue
| z | | 18.85
| znorm | | 14.67
| sky | 14.6 | 14.9 | 14.7
| S/N | 16.2 | 24.1 | 28.6
| S/N(c) | 6.5 | 0.3 | 10.8
| SN(E/C) | 0.74
|
|
|
|
|
|
|
19410028
| 47
| | Red | Green | Blue
| z | | 18.91
| znorm | | 14.73
| sky | 15.4 | 15.0 | 15.1
| S/N | 16.6 | 25.0 | 29.5
| S/N(c) | 6.7 | 0.4 | 11.2
| SN(E/C) | 0.73
|
|
|
|
|
|
|
19410029
| 47
| | Red | Green | Blue
| z | | 18.92
| znorm | | 14.74
| sky | 14.9 | 15.1 | 14.9
| S/N | 17.0 | 25.3 | 29.7
| S/N(c) | 6.7 | 0.4 | 11.2
| SN(E/C) | 0.80
|
|
|
|
|
|
|
19410030
| 47
| | Red | Green | Blue
| z | | 18.94
| znorm | | 14.76
| sky | 15.0 | 14.8 | 14.8
| S/N | 17.5 | 26.1 | 29.9
| S/N(c) | 6.9 | 0.4 | 11.5
| SN(E/C) | 0.71
|
|
|
|
|
|
|
19410031
| 47
| | Red | Green | Blue
| z | | 18.96
| znorm | | 14.78
| sky | 15.1 | 15.1 | 14.9
| S/N | 18.1 | 26.7 | 30.6
| S/N(c) | 7.1 | 0.4 | 11.8
| SN(E/C) | 0.70
|
|
|
|
|
|
|