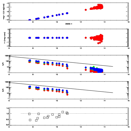
Left plots: red are targets, blue are telluric. Observed mags are calculated from median value of green chip. Zeropoint gives overall throughput: bigger number is more throughput.
First spatial plots: circles are objects, squares are tellurics, crosses are sky fibers. Colors give deviation of observed mag from expected 2MASS mag using the median zeropoint; red is brighter
Second spatial plots: circles are sky fibers. Colors give sky line brightness relative to plate median sky line brightness
FrameNreadsZeropointsMag plots Spatial mag deviation Spatial sky 16325A emission deviations (filled: sky, open: star) Spatial sky continuum emission Spatial sky telluric CO2 absorption deviations (filled: H < 10)
0 0
RedGreenBlue
z17.66
znorm Inf
sky -Inf -Inf -Inf
S/N 6.4 12.3 14.0
S/N(c) 7.9 0.1 22.5
SN(E/C) 0.78

IPAIRNAMESHIFTNEWSHIFTS/N NAMESHIFTNEWSHIFTS/N
0 19310035 0.493552 0.00000 17.0431 19310033 0.00000 0.493552 17.8815
1 19310034 0.493347 0.000205010 16.7282 19310037 0.00248004 0.491072 15.1815
2 19310039 0.491113 0.00243899 14.7921 19310036 0.00207325 0.491479 15.0335