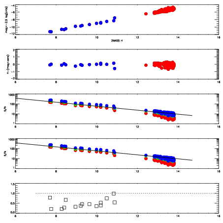
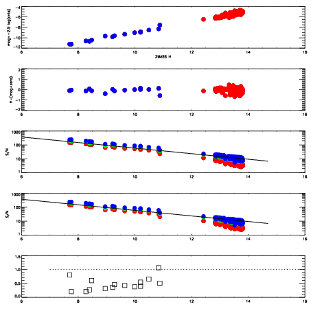
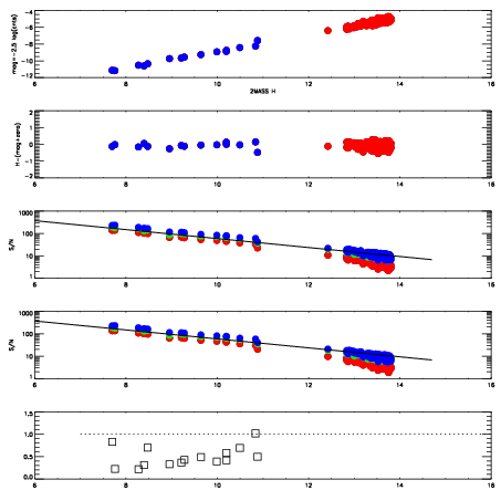
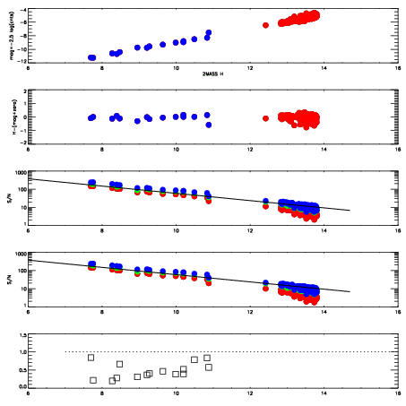
Frame | Nreads | Zeropoints | Mag plots
| Spatial mag deviation
| Spatial sky 16325A emission deviations (filled: sky, open: star)
| Spatial sky continuum emission
| Spatial sky telluric CO2 absorption deviations (filled: H < 10)
|
19410035
| 47
| | Red | Green | Blue
| z | | 19.02
| znorm | | 14.84
| sky | 15.0 | 14.7 | 15.0
| S/N | 19.0 | 28.8 | 34.0
| S/N(c) | 16.5 | 0.3 | 42.7
| SN(E/C) | 0.43
|
|
|
|
|
|
|
19410036
| 47
| | Red | Green | Blue
| z | | 19.00
| znorm | | 14.82
| sky | 15.3 | 14.8 | 15.3
| S/N | 18.9 | 28.7 | 33.8
| S/N(c) | 16.2 | 0.3 | 42.1
| SN(E/C) | 0.40
|
|
|
|
|
|
|
19410037
| 47
| | Red | Green | Blue
| z | | 19.00
| znorm | | 14.82
| sky | 15.3 | 15.1 | 15.1
| S/N | 18.8 | 28.7 | 33.8
| S/N(c) | 16.3 | 0.3 | 42.2
| SN(E/C) | 0.45
|
|
|
|
|
|
|
19410038
| 47
| | Red | Green | Blue
| z | | 18.98
| znorm | | 14.80
| sky | 15.2 | 15.0 | 15.0
| S/N | 18.5 | 28.5 | 33.4
| S/N(c) | 15.9 | 0.3 | 41.2
| SN(E/C) | 0.45
|
|
|
|
|
|
|
19410039
| 47
| | Red | Green | Blue
| z | | 18.95
| znorm | | 14.77
| sky | 15.0 | 15.0 | 15.0
| S/N | 18.2 | 28.1 | 32.9
| S/N(c) | 15.9 | 0.3 | 41.0
| SN(E/C) | 0.43
|
|
|
|
|
|
|
19410040
| 47
| | Red | Green | Blue
| z | | 18.94
| znorm | | 14.76
| sky | 15.2 | 14.9 | 15.1
| S/N | 18.2 | 28.0 | 32.8
| S/N(c) | 15.4 | 0.3 | 40.2
| SN(E/C) | 0.42
|
|
|
|
|
|
|
19410041
| 47
| | Red | Green | Blue
| z | | 18.98
| znorm | | 14.80
| sky | 14.9 | 15.1 | 15.4
| S/N | 18.5 | 28.6 | 33.5
| S/N(c) | 15.8 | 0.3 | 40.8
| SN(E/C) | 0.44
|
|
|
|
|
|
|
19410042
| 47
| | Red | Green | Blue
| z | | 18.94
| znorm | | 14.76
| sky | 15.3 | 15.0 | 15.0
| S/N | 18.3 | 28.0 | 32.9
| S/N(c) | 14.9 | 0.3 | 38.9
| SN(E/C) | 0.43
|
|
|
|
|
|
|