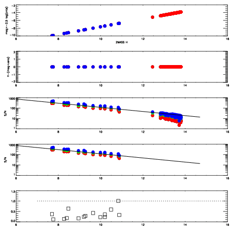
Left plots: red are targets, blue are telluric. Observed mags are calculated from median value of green chip. Zeropoint gives overall throughput: bigger number is more throughput.
First spatial plots: circles are objects, squares are tellurics, crosses are sky fibers. Colors give deviation of observed mag from expected 2MASS mag using the median zeropoint; red is brighter
Second spatial plots: circles are sky fibers. Colors give sky line brightness relative to plate median sky line brightness
FrameNreadsZeropointsMag plots Spatial mag deviation Spatial sky 16325A emission deviations (filled: sky, open: star) Spatial sky continuum emission Spatial sky telluric CO2 absorption deviations (filled: H < 10)
0 0
RedGreenBlue
z17.64
znorm Inf
sky -Inf -Inf -Inf
S/N 34.7 55.1 64.0
S/N(c) 30.3 0.5 79.6
SN(E/C) 0.29

IPAIRNAMESHIFTNEWSHIFTS/N NAMESHIFTNEWSHIFTS/N
0 19600027 0.496457 0.00000 18.7662 19600024 -0.000439145 0.496896 18.7984
1 19600022 0.496040 0.000417024 19.0065 19600021 0.00000 0.496457 18.9800
2 19600026 0.496194 0.000263005 18.9274 19600028 -0.000867321 0.497324 18.9381
3 19600023 0.495964 0.000493020 18.9162 19600025 -0.00136693 0.497824 18.8873