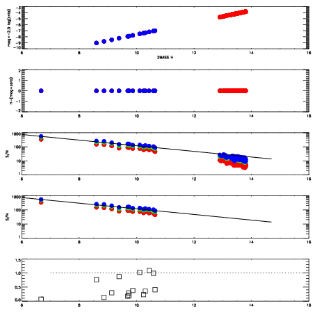
Left plots: red are targets, blue are telluric. Observed mags are calculated from median value of green chip. Zeropoint gives overall throughput: bigger number is more throughput.
First spatial plots: circles are objects, squares are tellurics, crosses are sky fibers. Colors give deviation of observed mag from expected 2MASS mag using the median zeropoint; red is brighter
Second spatial plots: circles are sky fibers. Colors give sky line brightness relative to plate median sky line brightness
FrameNreadsZeropointsMag plots Spatial mag deviation Spatial sky 16325A emission deviations (filled: sky, open: star) Spatial sky continuum emission Spatial sky telluric CO2 absorption deviations (filled: H < 10)
0 0
RedGreenBlue
z17.64
znorm Inf
sky -Inf -Inf -NaN
S/N 27.3 40.1 50.9
S/N(c) 20.8 38.6 43.6
SN(E/C) 0.35

IPAIRNAMESHIFTNEWSHIFTS/N NAMESHIFTNEWSHIFTS/N
0 19590012 0.495779 0.00000 18.7452 19590011 0.00000 0.495779 18.8763
1 19590017 0.494417 0.00136200 18.6769 19590018 -0.00187821 0.497657 18.6422
2 19590013 0.495132 0.000647008 18.6513 19590015 -0.00145914 0.497238 18.5571
3 19590016 0.494812 0.000966996 18.6410 19590014 -0.00119182 0.496971 18.3128