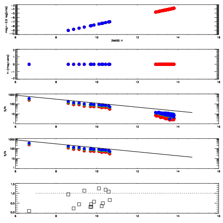
Left plots: red are targets, blue are telluric. Observed mags are calculated from median value of green chip. Zeropoint gives overall throughput: bigger number is more throughput.
First spatial plots: circles are objects, squares are tellurics, crosses are sky fibers. Colors give deviation of observed mag from expected 2MASS mag using the median zeropoint; red is brighter
Second spatial plots: circles are sky fibers. Colors give sky line brightness relative to plate median sky line brightness
FrameNreadsZeropointsMag plots Spatial mag deviation Spatial sky 16325A emission deviations (filled: sky, open: star) Spatial sky continuum emission Spatial sky telluric CO2 absorption deviations (filled: H < 10)
0 0
RedGreenBlue
z17.65
znorm Inf
sky -Inf -Inf -NaN
S/N 19.5 26.7 31.9
S/N(c) 15.2 26.5 28.4
SN(E/C) 0.50

IPAIRNAMESHIFTNEWSHIFTS/N NAMESHIFTNEWSHIFTS/N
0 19400027 0.490713 0.00000 18.9454 19400025 0.00000 0.490713 18.3533
1 19400026 0.490091 0.000622004 18.7011 19400032 -0.00615638 0.496869 17.8761
2 19400031 0.482517 0.00819600 18.5781 19400028 -0.000634169 0.491347 16.4956
3 19400030 0.482531 0.00818199 18.1943 19400029 -0.00175924 0.492472 15.9987