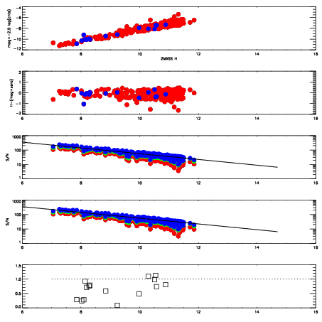
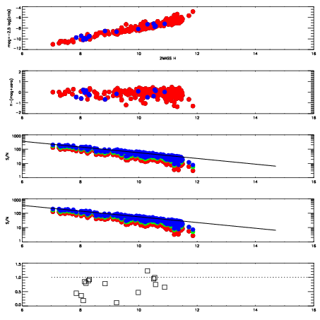
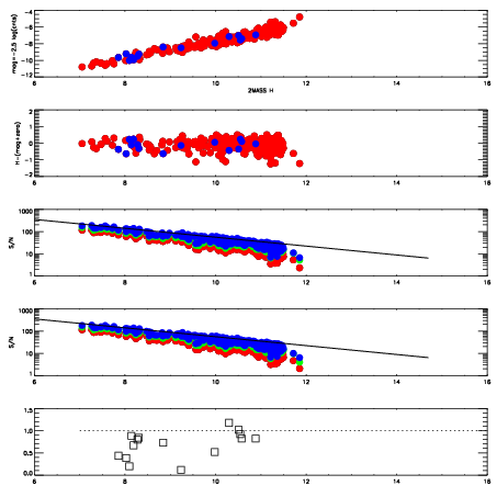
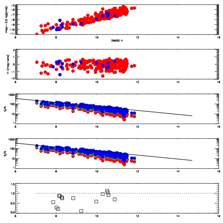
Left plots: red are targets, blue are telluric. Observed mags are calculated from median value of green chip. Zeropoint gives overall throughput: bigger number is more throughput.
First spatial plots: circles are objects, squares are tellurics, crosses are sky fibers. Colors give deviation of observed mag from expected 2MASS mag using the median zeropoint; red is brighter
Second spatial plots: circles are sky fibers. Colors give sky line brightness relative to plate median sky line brightness
FrameNreadsZeropointsMag plots Spatial mag deviation Spatial sky 16325A emission deviations (filled: sky, open: star) Spatial sky continuum emission Spatial sky telluric CO2 absorption deviations (filled: H < 10)
20070026 42
RedGreenBlue
z17.87
znorm13.81
sky 14.4 14.2 14.4
S/N 4.6 9.0 9.5
S/N(c) 10.8 17.2 12.7
SN(E/C) 0.79
20070027 42
RedGreenBlue
z18.06
znorm14.00
sky 14.5 14.3 14.5
S/N 5.1 9.9 10.3
S/N(c) 12.6 19.1 14.2
SN(E/C) 0.78
20070028 42
RedGreenBlue
z18.05
znorm13.99
sky 14.6 14.3 14.4
S/N 10.2 17.9 19.2
S/N(c) 12.3 18.6 13.9
SN(E/C) 0.76
20070029 42
RedGreenBlue
z18.35
znorm14.29
sky 14.5 14.4 14.4
S/N 13.0 21.5 23.2
S/N(c) 14.7 21.2 16.2
SN(E/C) 0.74
20070030 42
RedGreenBlue
z17.99
znorm13.93
sky 14.6 14.5 14.4
S/N 6.9 12.6 13.0
S/N(c) 11.8 18.3 13.9
SN(E/C) 0.77
20070031 42
RedGreenBlue
z17.73
znorm13.67
sky 14.6 14.4 14.2
S/N 5.5 10.4 10.5
S/N(c) 9.9 15.8 12.1
SN(E/C) 0.75