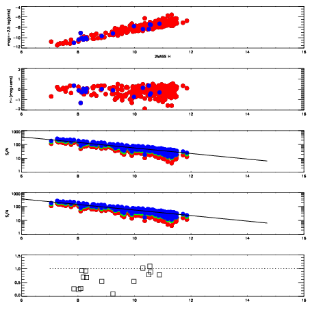
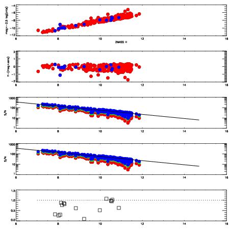
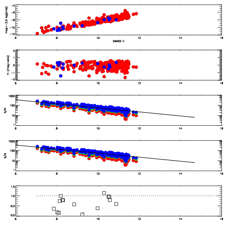
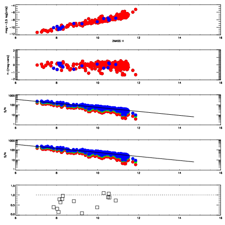
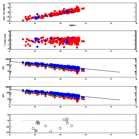
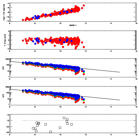
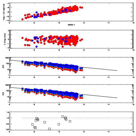
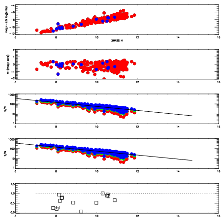
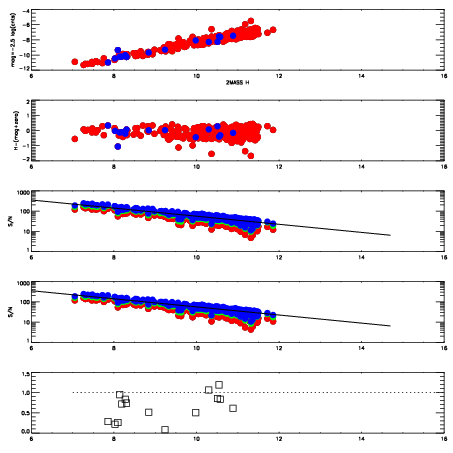
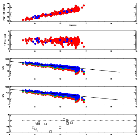
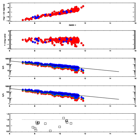
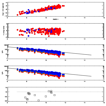
Frame | Nreads | Zeropoints | Mag plots
| Spatial mag deviation
| Spatial sky 16325A emission deviations (filled: sky, open: star)
| Spatial sky continuum emission
| Spatial sky telluric CO2 absorption deviations (filled: H < 10)
|
20080011
| 42
| | Red | Green | Blue
| z | | 18.37
| znorm | | 14.31
| sky | 14.6 | 14.4 | 14.4
| S/N | 7.0 | 13.1 | 13.8
| S/N(c) | 15.0 | 22.1 | 16.4
| SN(E/C) | 0.73
|
|
|
|
|
|
|
20080012
| 42
| | Red | Green | Blue
| z | | 18.46
| znorm | | 14.41
| sky | 14.5 | 14.6 | 14.5
| S/N | 8.1 | 14.8 | 15.5
| S/N(c) | 16.2 | 23.6 | 17.3
| SN(E/C) | 0.69
|
|
|
|
|
|
|
20080013
| 42
| | Red | Green | Blue
| z | | 18.51
| znorm | | 14.45
| sky | 14.4 | 14.6 | 14.8
| S/N | 14.6 | 24.4 | 26.6
| S/N(c) | 15.7 | 22.9 | 17.0
| SN(E/C) | 0.69
|
|
|
|
|
|
|
20080014
| 42
| | Red | Green | Blue
| z | | 18.56
| znorm | | 14.50
| sky | 14.5 | 14.6 | 14.6
| S/N | 15.7 | 25.4 | 27.3
| S/N(c) | 16.3 | 23.3 | 17.4
| SN(E/C) | 0.65
|
|
|
|
|
|
|
20080015
| 42
| | Red | Green | Blue
| z | | 18.46
| znorm | | 14.40
| sky | 14.4 | 14.7 | 14.6
| S/N | 9.5 | 17.2 | 18.2
| S/N(c) | 16.1 | 23.2 | 18.1
| SN(E/C) | 0.74
|
|
|
|
|
|
|
20080016
| 42
| | Red | Green | Blue
| z | | 18.50
| znorm | | 14.44
| sky | 14.6 | 14.8 | 14.5
| S/N | 9.9 | 17.7 | 18.5
| S/N(c) | 16.6 | 23.4 | 18.4
| SN(E/C) | 0.74
|
|
|
|
|
|
|
20080017
| 42
| | Red | Green | Blue
| z | | 18.48
| znorm | | 14.43
| sky | 14.5 | 14.7 | 14.5
| S/N | 6.5 | 12.9 | 13.2
| S/N(c) | 16.8 | 24.1 | 18.0
| SN(E/C) | 0.69
|
|
|
|
|
|
|
20080018
| 42
| | Red | Green | Blue
| z | | 18.42
| znorm | | 14.36
| sky | 14.6 | 14.6 | 14.5
| S/N | 6.4 | 12.4 | 12.5
| S/N(c) | 15.9 | 22.9 | 17.4
| SN(E/C) | 0.72
|
|
|
|
|
|
|
20080019
| 42
| | Red | Green | Blue
| z | | 18.50
| znorm | | 14.44
| sky | 14.5 | 14.6 | 14.8
| S/N | 14.2 | 23.6 | 25.7
| S/N(c) | 16.1 | 23.1 | 17.6
| SN(E/C) | 0.72
|
|
|
|
|
|
|
20080020
| 42
| | Red | Green | Blue
| z | | 18.27
| znorm | | 14.21
| sky | 14.6 | 14.9 | 14.6
| S/N | 11.5 | 19.9 | 21.2
| S/N(c) | 13.9 | 20.6 | 15.5
| SN(E/C) | 0.77
|
|
|
|
|
|
|
20080021
| 42
| | Red | Green | Blue
| z | | 18.02
| znorm | | 13.96
| sky | 14.8 | 14.7 | 14.8
| S/N | 7.2 | 12.9 | 13.9
| S/N(c) | 11.8 | 18.5 | 14.0
| SN(E/C) | 0.76
|
|
|
|
|
|
|
20080022
| 42
| | Red | Green | Blue
| z | | 18.01
| znorm | | 13.95
| sky | 14.5 | 14.8 | 14.6
| S/N | 6.5 | 12.7 | 14.4
| S/N(c) | 11.6 | 18.5 | 13.8
| SN(E/C) | 0.79
|
|
|
|
|
|
|