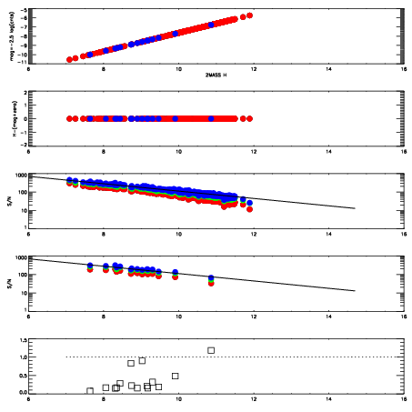
Left plots: red are targets, blue are telluric. Observed mags are calculated from median value of green chip. Zeropoint gives overall throughput: bigger number is more throughput.
First spatial plots: circles are objects, squares are tellurics, crosses are sky fibers. Colors give deviation of observed mag from expected 2MASS mag using the median zeropoint; red is brighter
Second spatial plots: circles are sky fibers. Colors give sky line brightness relative to plate median sky line brightness
FrameNreadsZeropointsMag plots Spatial mag deviation Spatial sky 16325A emission deviations (filled: sky, open: star) Spatial sky continuum emission Spatial sky telluric CO2 absorption deviations (filled: H < 10)
0 0
RedGreenBlue
z17.64
znorm Inf
sky -Inf -Inf -Inf
S/N 17.9 30.1 35.8
S/N(c) 0.0 0.0 0.0
SN(E/C) 0.21

IPAIRNAMESHIFTNEWSHIFTS/N NAMESHIFTNEWSHIFTS/N
0 19510055 0.491378 0.00000 18.4433 19510056 0.00374716 0.487631 18.4319
1 19510054 0.489417 0.00196102 18.5195 19510053 0.00000 0.491378 18.4818
2 19510058 0.490604 0.000773996 18.0274 19510057 0.00298188 0.488396 18.0571
3 19510059 0.490786 0.000592023 17.9075 19510060 0.00523993 0.486138 17.9940