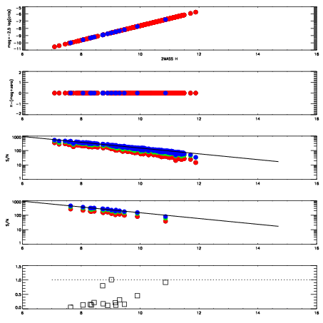
Left plots: red are targets, blue are telluric. Observed mags are calculated from median value of green chip. Zeropoint gives overall throughput: bigger number is more throughput.
First spatial plots: circles are objects, squares are tellurics, crosses are sky fibers. Colors give deviation of observed mag from expected 2MASS mag using the median zeropoint; red is brighter
Second spatial plots: circles are sky fibers. Colors give sky line brightness relative to plate median sky line brightness
FrameNreadsZeropointsMag plots Spatial mag deviation Spatial sky 16325A emission deviations (filled: sky, open: star) Spatial sky continuum emission Spatial sky telluric CO2 absorption deviations (filled: H < 10)
0 0
RedGreenBlue
z17.64
znorm Inf
sky -Inf -Inf -Inf
S/N 21.2 37.7 44.3
S/N(c) 0.0 0.0 0.0
SN(E/C) 0.18

IPAIRNAMESHIFTNEWSHIFTS/N NAMESHIFTNEWSHIFTS/N
0 19530013 0.490677 0.00000 17.8957 19530014 0.000472064 0.490205 17.8307
1 19530024 0.486769 0.00390801 18.4415 19530023 -0.00137632 0.492053 18.4674
2 19530017 0.488934 0.00174299 18.1207 19530018 -0.00136628 0.492043 18.2101
3 19530020 0.488445 0.00223199 18.0212 19530019 -0.000178812 0.490856 18.0847
4 19530016 0.489404 0.00127301 18.0024 19530015 -0.00150387 0.492181 18.0675
5 19530012 0.490068 0.000609010 17.9604 19530022 -0.000778448 0.491455 18.0554
6 19530021 0.487186 0.00349098 17.9261 19530011 0.00000 0.490677 17.9396